ГОСТ 27.507-2015 Надежность в технике. Запасные части, инструменты и принадлежности. Оценка и расчет запасов
ГОСТ
Скачать ГОСТ в PDF или DOC бесплатно
Основная информация
Обозначение:
ГОСТ 27.507-2015
Статус:
Действует
Тип:
ГОСТ
Название русское:
Надежность в технике. Запасные части, инструменты и принадлежности. Оценка и расчет запасов
Название английское:
Reliability in technique. Spare parts, tools and accessories. Evaluation and calculation of reserves
Даты и сроки
Дата регистрации:
12-10-15
Дата издания:
07-03-17
Дата введения в действие:
03-01-17
Дата завершения срока действия:
-
Применение и описание
Область и условия применения:
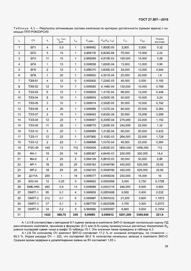
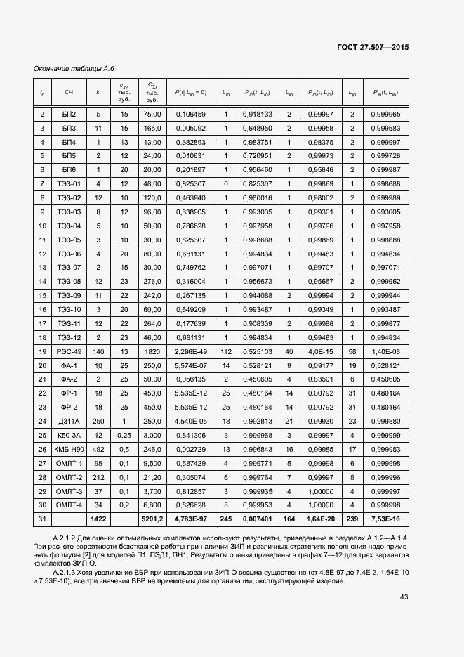
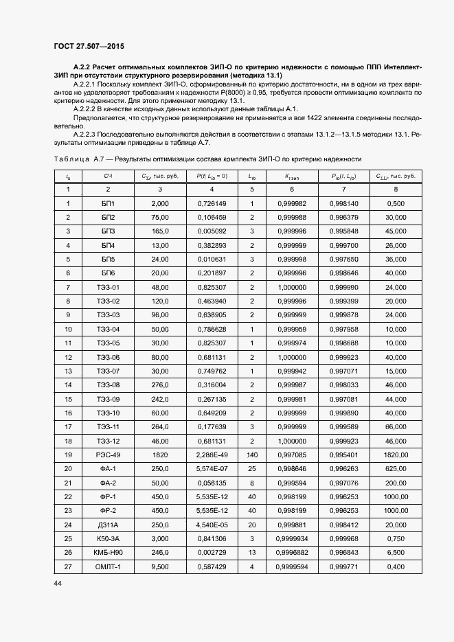
Настоящий стандарт распространяется на восстанавливаемые и обслуживаемые в условиях эксплуатации (на объектах применения, базах хранения или ремонтных органах) технические изделия (далее - изделия), для обеспечения надежности (ремонтопригодности) которых предусматриваются одиночные и (или) групповые комплекты запасных частей, инструмента и принадлежностей (ЗИП) или двухуровневые системы ЗИП, или запасы на складах, формируемые по средним нормам расхода запасных частей. Настоящий стандарт устанавливает методологию, порядок и типовые методики оценки показателей достаточности и суммарных затрат на запасные части, методики расчета оптимальных запасов в комплектах (системах) ЗИП, а также методику расчета начальных запасов на складах по средним нормам запасных частей. Положения настоящего стандарта подлежат применению организациями Российской Федерации, министерств и ведомств и иными расположенными на территории Российской Федерации предприятиями и организациями независимо от форм собственности и подчиненности, имеющими отношение к разработке, производству, эксплуатации и ремонту технических изделий, а также организациями стран ТС, участвующими в разработке, согласовании и применении настоящего стандарта в соответствии с действующим законодательством
Связи и замены
Заменяющий:
-
Описание стандарта
ГОСТ 27.507-2015 Надежность в технике. Запасные части, инструменты и принадлежности. Оценка и расчет запасов
Страницы стандарта



















































