ГОСТ 8338-2022 Подшипники качения. Подшипники шариковые радиальные однорядные. Классификация, указания по применению и эксплуатации
ГОСТ
Скачать ГОСТ в PDF или DOC бесплатно
Основная информация
Обозначение:
ГОСТ 8338-2022
Статус:
Действует
Тип:
ГОСТ
Название русское:
Подшипники качения. Подшипники шариковые радиальные однорядные. Классификация, указания по применению и эксплуатации
Название английское:
Rolling bearings. Single-row deep groove ball bearings. Classification, guidance for application and exploitation
Даты и сроки
Дата регистрации:
12-26-22
Дата издания:
04-07-25
Дата введения в действие:
04-01-23
Дата завершения срока действия:
-
Применение и описание
Область и условия применения:
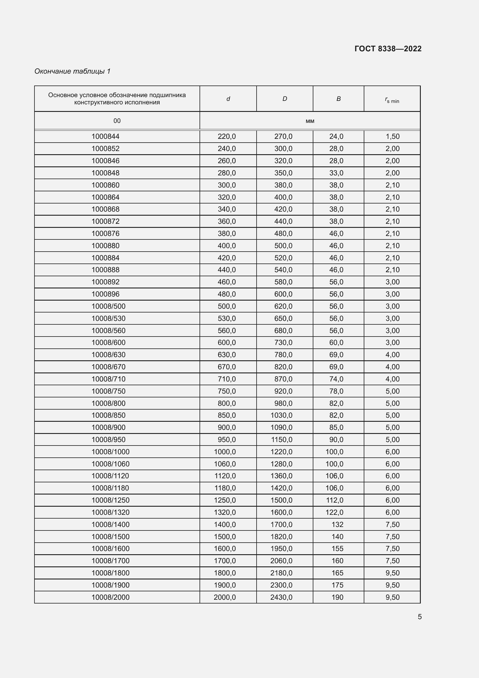
Настоящий стандарт распространяется на шариковые радиальные однорядные подшипники, включая шариковые радиальные однорядные подшипники с канавкой под установочное пружинное кольцо, (далее – подшипники), изготавливаемые по ГОСТ 520, и устанавливает классификацию по конструктивным исполнениям и присоединительным размерам, указания по применению и эксплуатации
Связи и замены
Заменяющий:
-
Взамен:
ГОСТ 8338-75
Описание стандарта
ГОСТ 8338-2022 Подшипники качения. Подшипники шариковые радиальные однорядные. Классификация, указания по применению и эксплуатации
Страницы стандарта





























Приложение №1: Поправка к ГОСТ 8338-2022 Обозначение: Поправка к ГОСТ 8338-2022 Дата введения в действие: 21.05.2024
