ГОСТ 24950-81 Отводы гнутые и вставки кривые на поворотах линейной части стальных магистральных трубопроводов. Технические условия
ГОСТ
Скачать ГОСТ в PDF или DOC бесплатно
Основная информация
Обозначение:
ГОСТ 24950-81
Статус:
Заменен
Тип:
ГОСТ
Название русское:
Отводы гнутые и вставки кривые на поворотах линейной части стальных магистральных трубопроводов. Технические условия
Название английское:
Bent branches and elbows at line bends for transmission steel pipelines. Specifications
Даты и сроки
Дата издания:
04-01-03
Дата введения в действие:
06-30-82
Дата завершения срока действия:
09-01-19
Применение и описание
Область и условия применения:
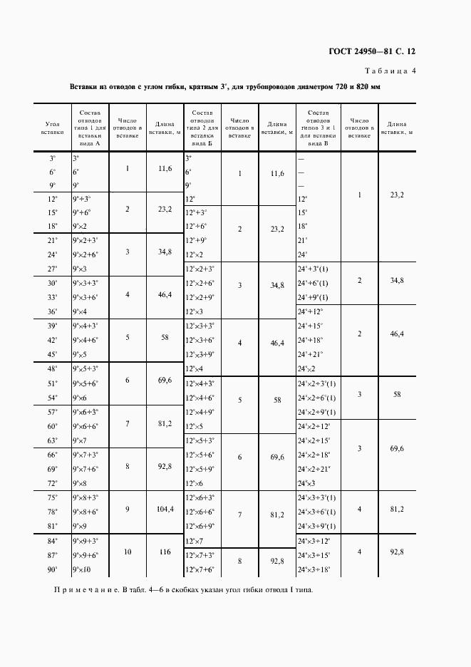
Настоящий стандарт распространяется на гнутые отводы и кривые вставки, предназначенные для выполнения поворотов в вертикальной или горизонтальной плоскости линейной части стальных магистральных трубопроводов и ответвлений от них, изготовляемые на трубогибочном оборудовании способом поперечной гибки труб в холодном состоянии
Связи и замены
Заменяющий:
ГОСТ 24950-2019
Описание стандарта
ГОСТ 24950-81 Отводы гнутые и вставки кривые на поворотах линейной части стальных магистральных трубопроводов. Технические условия
Страницы стандарта















