ГОСТ Р МЭК 62707-1-2014 Светодиоды. Часть 1. Общие требования к бинированию и сетка координат цветности для белых светодиодов
ГОСТ Р МЭК
Скачать ГОСТ в PDF или DOC бесплатно
Основная информация
Обозначение:
ГОСТ Р МЭК 62707-1-2014
Статус:
Действует
Тип:
ГОСТ Р МЭК
Название русское:
Светодиоды. Часть 1. Общие требования к бинированию и сетка координат цветности для белых светодиодов
Название английское:
LED. Part 1. General requirements to binning and grid of chromaticity coordinates for white LED
Даты и сроки
Дата издания:
03-30-15
Дата введения в действие:
07-01-15
Дата завершения срока действия:
-
Применение и описание
Область и условия применения:
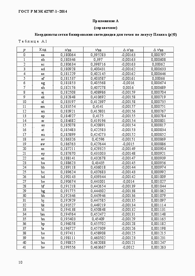
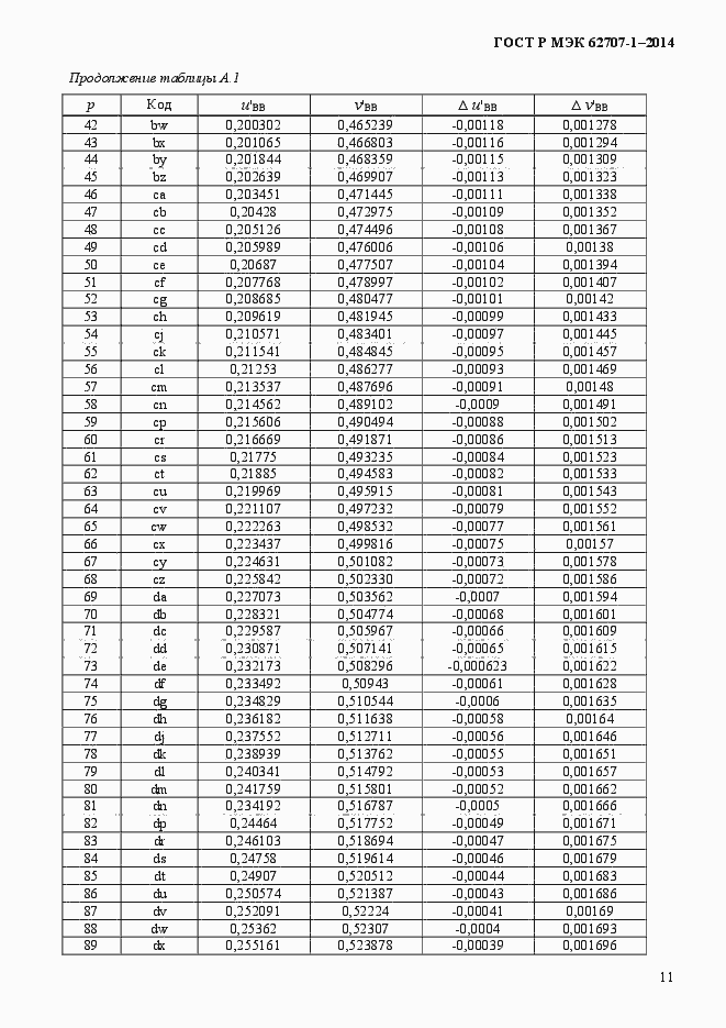
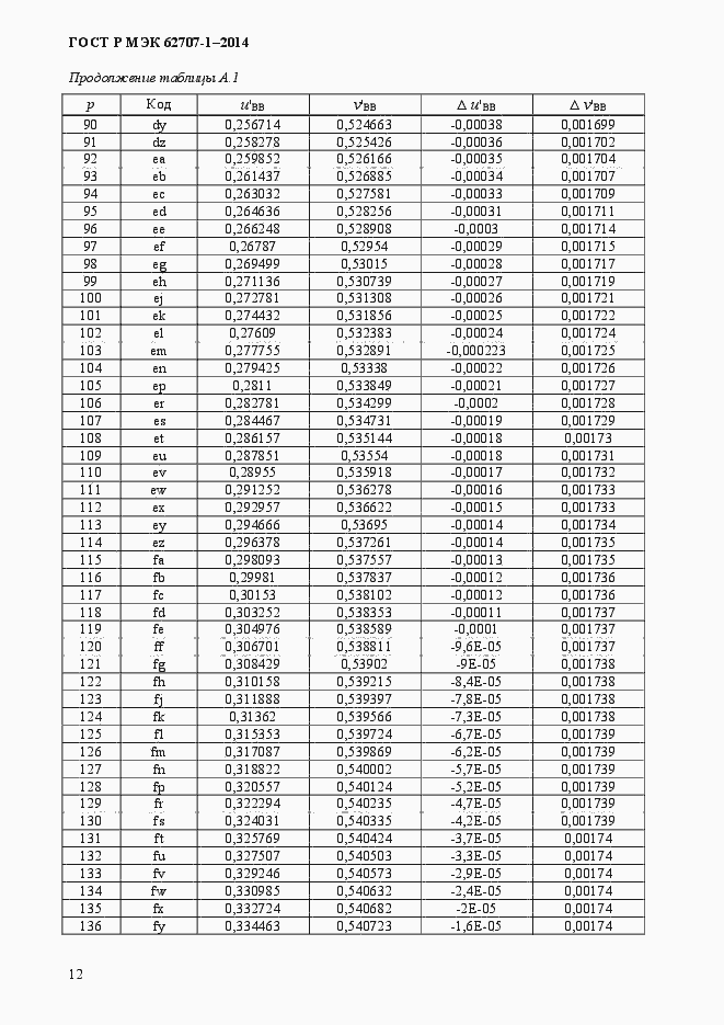
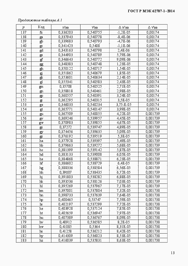
Настоящий стандарт распространяется на белые корпусированные светодиоды (далее - СД) и устанавливает общие требования, координатную сетку и соответствующий код для бинирования
Связи и замены
Заменяющий:
-
Описание стандарта
ГОСТ Р МЭК 62707-1-2014 Светодиоды. Часть 1. Общие требования к бинированию и сетка координат цветности для белых светодиодов
Страницы стандарта



























