ГОСТ Р МЭК 60357-2012 Лампы вольфрамовые галогенные (не для транспортных средств). Эксплуатационные требования
ГОСТ Р МЭК
Скачать ГОСТ в PDF или DOC бесплатно
Основная информация
Обозначение:
ГОСТ Р МЭК 60357-2012
Статус:
Действует
Тип:
ГОСТ Р МЭК
Название русское:
Лампы вольфрамовые галогенные (не для транспортных средств). Эксплуатационные требования
Название английское:
Tungsten halogen lamps (non-vehicle). Performance specifications
Даты и сроки
Дата издания:
07-02-14
Дата введения в действие:
07-01-13
Дата завершения срока действия:
-
Применение и описание
Область и условия применения:
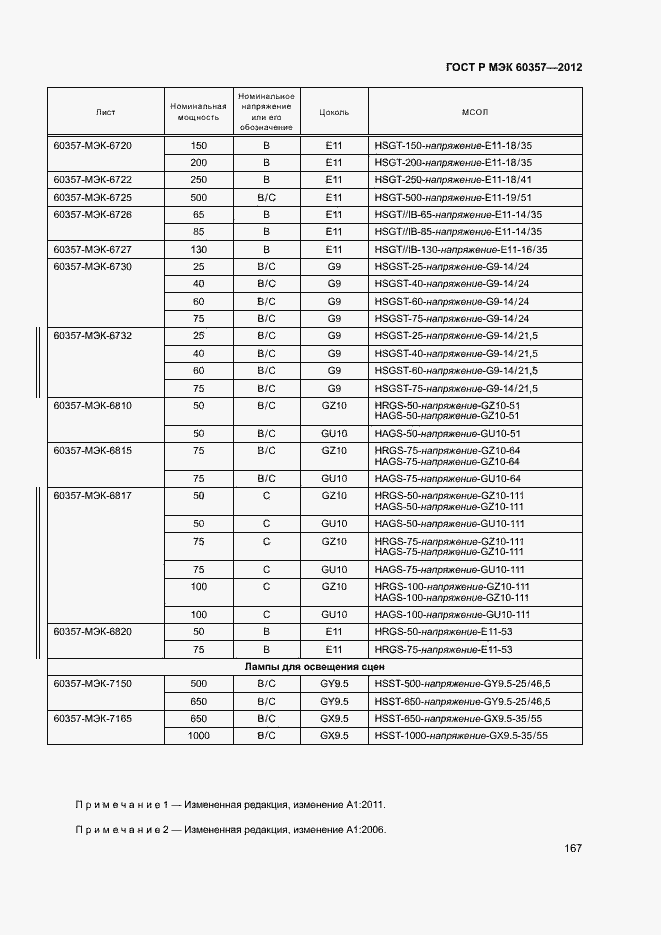
Настоящий стандарт устанавливает эксплуатационные требования для одноцокольных и двухцокольных вольфрамовых галогенных ламп на номинальное напряжение до 250 В включительно следующего назначения (далее – лампы): - проекционные (включая кинопроекторные и диапроекторные); - фотолампы (включая студийные); - прожекторные; - специального назначения; - общего назначения; - освещение сцен. В настоящем стандарте к некоторым требованиям дается ссылка на то, что они указаны в соответствующем листе с параметрами лампы. Для некоторых ламп эти листы с параметрами включены в настоящий стандарт. Для других ламп, входящих в область применения настоящего стандарта, соответствующие данные даются изготовителем лампы или ответственным поставщиком. Требования настоящего стандарта относятся
Связи и замены
Заменяющий:
-
Описание стандарта
ГОСТ Р МЭК 60357-2012 Лампы вольфрамовые галогенные (не для транспортных средств). Эксплуатационные требования
Страницы стандарта













































































































































































