ГОСТ Р МЭК 60923-2011 Устройства управления лампами. Аппараты пускорегулирующие для разрядных ламп (кроме люминесцентных ламп). Требования к рабочим характеристикам
ГОСТ Р МЭК
Скачать ГОСТ в PDF или DOC бесплатно
Основная информация
Обозначение:
ГОСТ Р МЭК 60923-2011
Статус:
Действует
Тип:
ГОСТ Р МЭК
Название русское:
Устройства управления лампами. Аппараты пускорегулирующие для разрядных ламп (кроме люминесцентных ламп). Требования к рабочим характеристикам
Название английское:
Lamp controlgear. Ballasts for discharge lamps (excluding fluorescent lamps). Performance requirements
Даты и сроки
Дата издания:
06-30-14
Дата введения в действие:
01-01-13
Дата завершения срока действия:
-
Применение и описание
Область и условия применения:
Настоящий стандарт устанавливает требования к рабочим характеристикам пускорегулирующих аппаратов для разрядных ламп, таких как: ртутные высокого давления, натриевые низкого давления, натриевые высокого давления и металлогалогенные. Настоящий стандарт распространяется на пускорегулирующие аппараты индуктивного типа для использования в сети переменного тока напряжением до 1000 В включительно, частотой 50 или 60 Гц, работающих совместно с разрядными лампами, имеющими нормируемую мощность, размеры и характеристики, соответствующие стандартам Международной электротехнической комиссии на лампы
Связи и замены
Заменяющий:
-
Взамен:
ГОСТ Р МЭК 923-98
Описание стандарта
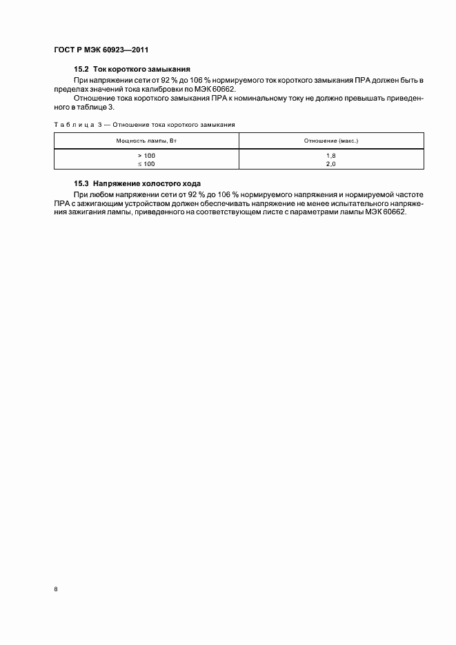
ГОСТ Р МЭК 60923-2011 Устройства управления лампами. Аппараты пускорегулирующие для разрядных ламп (кроме люминесцентных ламп). Требования к рабочим характеристикам
Страницы стандарта


















