ГОСТ IEC 61228-2019 Лампы люминесцентные ультрафиолетовые для загара. Метод измерения характеристик и требования
ГОСТ МЭК
Скачать ГОСТ в PDF или DOC бесплатно
Основная информация
Обозначение:
ГОСТ IEC 61228-2019
Статус:
Действует
Тип:
ГОСТ МЭК
Название русское:
Лампы люминесцентные ультрафиолетовые для загара. Метод измерения характеристик и требования
Название английское:
Fluorescent ultraviolet lamps used for tanning. Method for measurement characteristics and requirements
Даты и сроки
Дата регистрации:
10-30-19
Дата издания:
12-04-19
Дата введения в действие:
05-01-20
Дата завершения срока действия:
-
Применение и описание
Область и условия применения:
Настоящий стандарт устанавливает метод измерения, оценивания и требования к ультрафиолетовым люминесцентным лампам, используемым в установках для загара. Настоящий стандарт содержит особые требования к маркировке таких ламп. Рекомендации стандарта относятся только к испытаниям типа ламп
Связи и замены
Заменяющий:
-
Описание стандарта
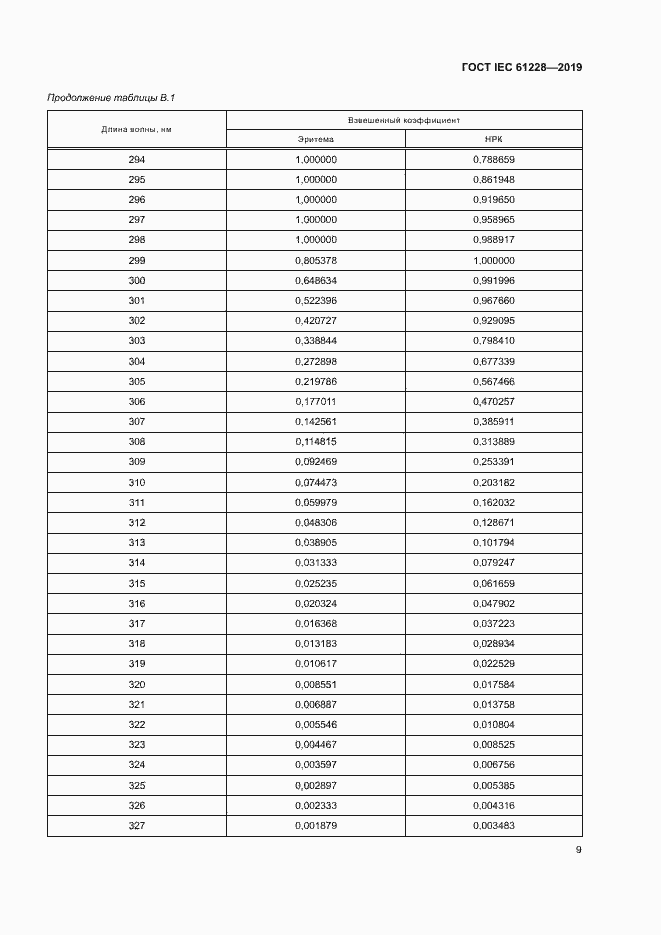
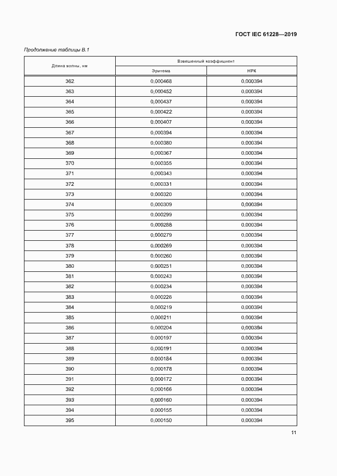
ГОСТ IEC 61228-2019 Лампы люминесцентные ультрафиолетовые для загара. Метод измерения характеристик и требования
Страницы стандарта




















Приложение №1: Поправка к ГОСТ IEC 61228-2019 Обозначение: Поправка к ГОСТ IEC 61228-2019 Дата введения в действие: 19.08.2020
