ГОСТ 11920-85 Трансформаторы силовые масляные общего назначения напряжением до 35 кВ включительно. Технические условия
ГОСТ
Скачать ГОСТ в PDF или DOC бесплатно
Основная информация
Обозначение:
ГОСТ 11920-85
Статус:
Действует только в РФ
Тип:
ГОСТ
Название русское:
Трансформаторы силовые масляные общего назначения напряжением до 35 кВ включительно. Технические условия
Название английское:
General purpose oil power transfomers 35 kV and including. Specifications
Даты и сроки
Дата издания:
12-02-85
Дата введения в действие:
06-30-86
Дата завершения срока действия:
-
Применение и описание
Область и условия применения:
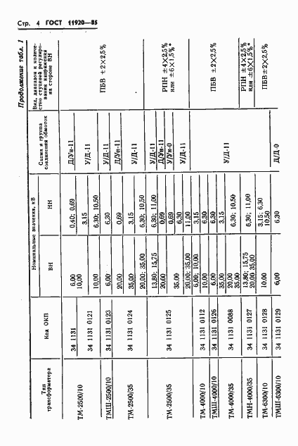
Настоящий стандарт распространяется на стационарные силовые масляные трехфазные двух- и трехобмоточные трансформаторы общего назначения мощностью от 1000 до 80000 кВхА на напряжение до 35 кВ включительно, в том числе на трансформаторы для собственных нужд электростанций и электроснабжения угольных шахт, с переключением ответвлений без возбуждения и под нагрузкой, предназначенные для нужд народного хозяйства, а также для экспорта. Требования к трансформаторам для экспорта, отличающиеся от требований данного стандарта, устанавливаются в технических условиях на конкретные типы трансформаторов либо в заказе-наряде внешнеторговой организации
Связи и замены
Заменяющий:
-
Взамен:
ГОСТ 11920-73
Изменения и переиздания
Список изменений:
№1 от (рег. ) «Срок действия продлен»
Описание стандарта
ГОСТ 11920-85 Трансформаторы силовые масляные общего назначения напряжением до 35 кВ включительно. Технические условия
Страницы стандарта






































