ГОСТ 30852.10-2002 Электрооборудование взрывозащищенное. Часть 11. Искробезопасная электрическая цепь i
ГОСТ
Скачать ГОСТ в PDF или DOC бесплатно
Основная информация
Обозначение:
ГОСТ 30852.10-2002
Статус:
Действует
Тип:
ГОСТ
Название русское:
Электрооборудование взрывозащищенное. Часть 11. Искробезопасная электрическая цепь i
Название английское:
Electrical apparatus for explosive gas atmospheres. Part 11. Intrinsic safety i
Даты и сроки
Дата регистрации:
11-06-02
Дата издания:
03-17-14
Дата введения в действие:
02-15-14
Дата завершения срока действия:
-
Применение и описание
Область и условия применения:
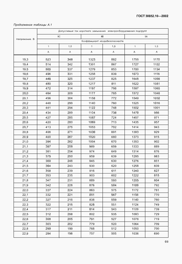
Настоящий стандарт распространяется на взрывозащищенные электрооборудование (электротехнические устройства) групп I и II с взрывозащитой вида «искробезопасная электрическая цепь», на электрооборудование с взрывозащитой других видов,имеющее искробезопасные и связанные с ними искроопасные электрические цепи, а также на электрические цепи невзрывозащищенного электрооборудования, которые электрически связаны с искробезопасными цепями взрывозащищенного электрооборудования и могут оказать влияние на их искробезопасность. Стандарт устанавливает требования к конструкции, методы испытаний и маркировке искробезопасного электрооборудования, искробезопасных цепей связанного электрооборудования, а также электрооборудования предназначенного для подключения к искробезопасным цепям
Связи и замены
Заменяющий:
-
Описание стандарта
ГОСТ 30852.10-2002 Электрооборудование взрывозащищенное. Часть 11. Искробезопасная электрическая цепь i
Страницы стандарта




























































































































