ГОСТы >
29.260.99 Электрическое оборудование для работы в особых условиях прочее >
ГОСТ Р 50020.2-92
ГОСТ Р 50020.2-92 Электроустановки для открытых площадок при тяжелых условиях эксплуатации (включая открытые горные разработки и карьеры). Часть 2. Общие требования к защите
ГОСТ Р
Скачать ГОСТ в PDF или DOC бесплатно
Основная информация
Обозначение:
ГОСТ Р 50020.2-92
Статус:
Действует
Тип:
ГОСТ Р
Название русское:
Электроустановки для открытых площадок при тяжелых условиях эксплуатации (включая открытые горные разработки и карьеры). Часть 2. Общие требования к защите
Название английское:
Electrical installations for outdoor sites under heavy conditions (including open-cast mines and quarries). Part 2. General protection requirements
Даты и сроки
Дата издания:
11-01-04
Дата введения в действие:
01-01-93
Дата завершения срока действия:
-
Применение и описание
Область и условия применения:
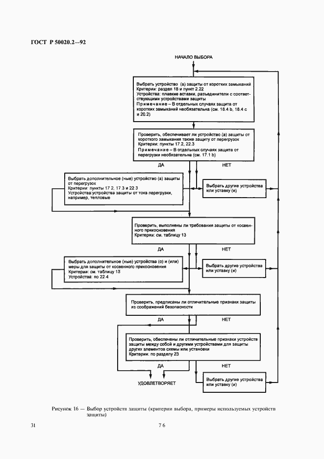
Настоящий стандарт устанавливает: - требования к защите от непосредственного прикосновения для всех электроустановок напряжением до 1000 В включительно и свше 1000 В;- требования к защите от косвенного прикосновения с защитным проводником для всех электроустановок напряжением до 1000 В включительно и свше 1000 В;- требования к защите от сверхтока в случае защиты от перегрузки и защиты от короткого замыкания, при совместной защите от перегрузки и короткого замыкания и при согласовании этих защит с проводниками и аппаратами. В стандарте рассмотрены также факторы, которые следует учитывать при выборе защитных устройств и систем защиты в соответствии с требованиями, предъявляемыми к установкам переменного тока и установкам переменного и постоянного тока
Связи и замены
Заменяющий:
-
Описание стандарта
ГОСТ Р 50020.2-92 Электроустановки для открытых площадок при тяжелых условиях эксплуатации (включая открытые горные разработки и карьеры). Часть 2. Общие требования к защите
Страницы стандарта





































