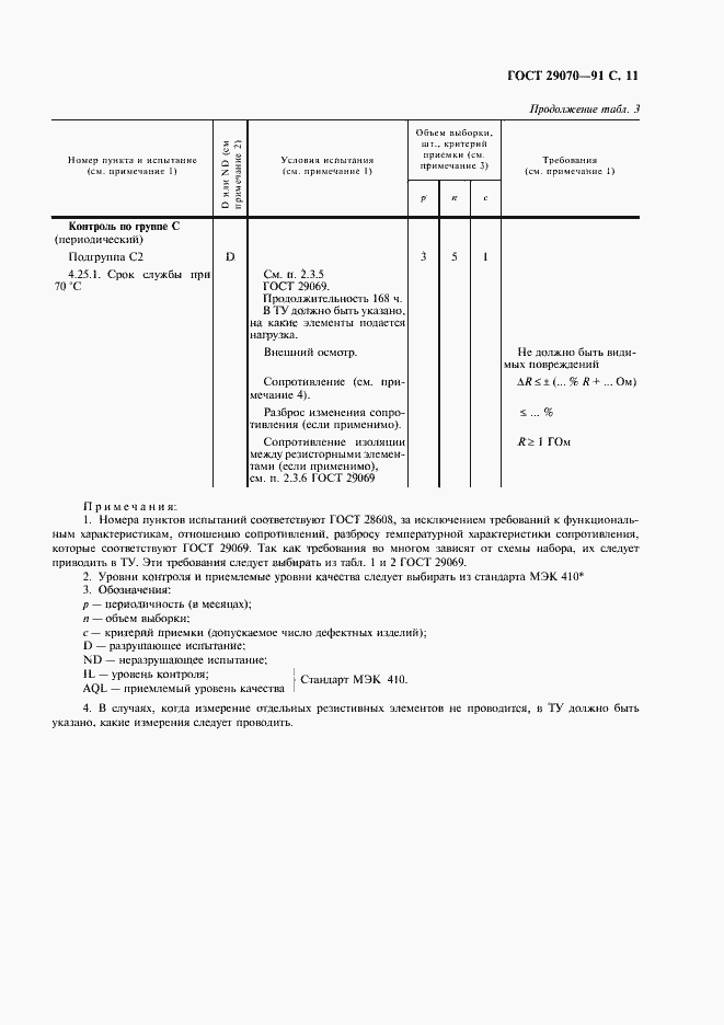
ГОСТ 29070-91 Постоянные резисторы для электронной аппаратуры. Часть 7. Форма технических условий на наборы постоянных резисторов, в которых не все резисторы отдельно измеряемы. Уровень качества Е
ГОСТ
Скачать ГОСТ в PDF или DOC бесплатно
Основная информация
Обозначение:
ГОСТ 29070-91
Статус:
Действует
Тип:
ГОСТ
Название русское:
Постоянные резисторы для электронной аппаратуры. Часть 7. Форма технических условий на наборы постоянных резисторов, в которых не все резисторы отдельно измеряемы. Уровень качества Е
Название английское:
Fixed resistors for use in electronic equipment. Part 7. Blank detail specification: fixed resistor networks in which not all resistors are individually measurable. Assessment level E
Даты и сроки
Дата издания:
09-01-04
Дата введения в действие:
06-30-92
Дата завершения срока действия:
-
Применение и описание
Область и условия применения:
Настоящий стандарт применяется для разработки технических условий на резисторы, в том числе подлежащие сертификации. Стандарт подготовлен методом прямого применения международного стандарта МЭК 115-7-1
Связи и замены
Заменяющий:
-
Описание стандарта
ГОСТ 29070-91 Постоянные резисторы для электронной аппаратуры. Часть 7. Форма технических условий на наборы постоянных резисторов, в которых не все резисторы отдельно измеряемы. Уровень качества Е
Страницы стандарта














