ГОСТ IEC 62341-6-1-2016 Дисплеи на органических светодиодах (OLED). Часть 6-1. Методы измерения оптических и электрооптических параметров
ГОСТ МЭК
Скачать ГОСТ в PDF или DOC бесплатно
Основная информация
Обозначение:
ГОСТ IEC 62341-6-1-2016
Статус:
Действует
Тип:
ГОСТ МЭК
Название русское:
Дисплеи на органических светодиодах (OLED). Часть 6-1. Методы измерения оптических и электрооптических параметров
Название английское:
Organic light emitting diode (OLED) displays. Part 6-1. Measuring methods of optical and electro-optical parameters
Даты и сроки
Дата регистрации:
06-28-16
Дата издания:
04-23-17
Дата введения в действие:
01-01-18
Применение и описание
Область и условия применения:
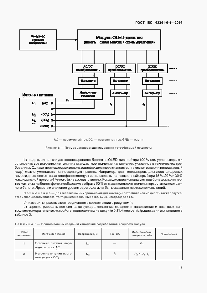
Настоящий стандарт устанавливает стандартные условия измерений и методы измерений для определения оптических и электрооптических параметров модулей дисплеев на органических светодиодах (OLED) и, при необходимости, дисплейных панелей OLED
Описание стандарта
ГОСТ IEC 62341-6-1-2016 Дисплеи на органических светодиодах (OLED). Часть 6-1. Методы измерения оптических и электрооптических параметров
Страницы стандарта


























