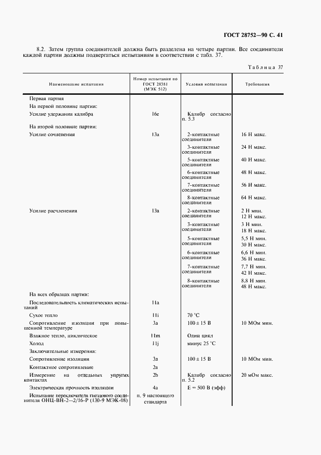
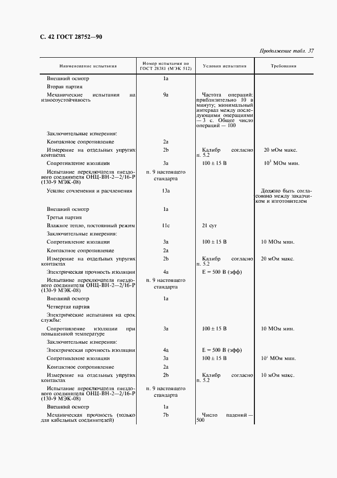
ГОСТ 28752-90 Соединители на частоты до 3 МГц. Часть 9. Цилиндрические соединители для радиоаппаратуры и связанной с ними акустической аппаратуры
ГОСТ
Скачать ГОСТ в PDF или DOC бесплатно
Основная информация
Обозначение:
ГОСТ 28752-90
Статус:
Действует
Тип:
ГОСТ
Название русское:
Соединители на частоты до 3 МГц. Часть 9. Цилиндрические соединители для радиоаппаратуры и связанной с ними акустической аппаратуры
Название английское:
Connectors for frequencies below 3 MHz. Part 9. Circular connectors for radio and associated sound equipment
Даты и сроки
Дата издания:
04-01-05
Дата введения в действие:
01-01-92
Дата завершения срока действия:
-
Применение и описание
Область и условия применения:
Настоящий стандарт распространяется на цилиндрические соединители для радиоаппаратуры и связанной с ними акустической аппаратуры
Связи и замены
Заменяющий:
-
Описание стандарта
ГОСТ 28752-90 Соединители на частоты до 3 МГц. Часть 9. Цилиндрические соединители для радиоаппаратуры и связанной с ними акустической аппаратуры
Страницы стандарта




























































