ГОСТ Р МЭК/ТО 60825-9-2009 Безопасность лазерной аппаратуры. Часть 9. Компиляция максимально допустимой экспозиции некогерентного оптического излучения
ГОСТ Р МЭК/ТО
Скачать ГОСТ в PDF или DOC бесплатно
Основная информация
Обозначение:
ГОСТ Р МЭК/ТО 60825-9-2009
Статус:
Отменен
Тип:
ГОСТ Р МЭК/ТО
Название русское:
Безопасность лазерной аппаратуры. Часть 9. Компиляция максимально допустимой экспозиции некогерентного оптического излучения
Название английское:
Safety of laser products. Part 9. Compilation of maximum permissible exposure to incoherent optical radiation
Даты и сроки
Дата издания:
04-25-11
Дата введения в действие:
01-01-11
Дата завершения срока действия:
07-01-14
Применение и описание
Область и условия применения:
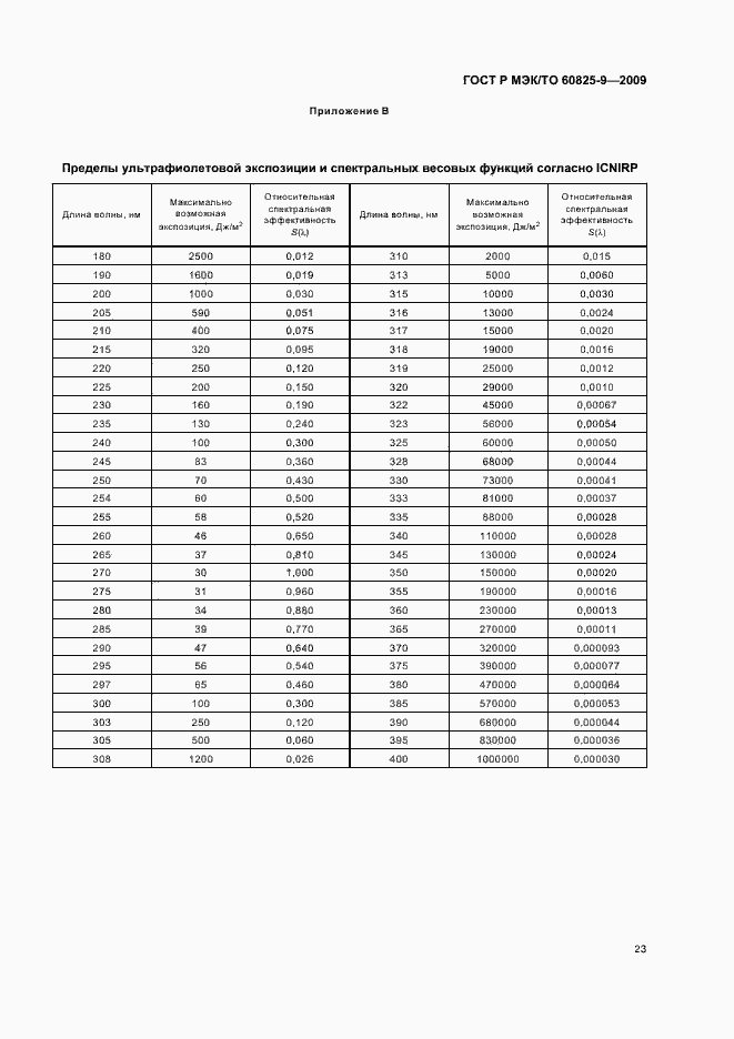
Настоящий стандарт приводит в соответствие действие значения максимально возможной экспозиции (МВЭ) при экспонировании некогерентного оптического излучения от искусственных источников на глаз человека или его кожу в диапазоне длин волн от 180 до 3000 нм с предельным согласованием. Эти величины базируются на доступной экспериментально изученной информации и могут использоваться только как инструкция при контроле экспозиции излучения искусственных источников, и не будут рассматриваться как линейный процесс между безопасностью и опасными уровнями. Эти величины главным образом относятся к экспозиции искусственных источников. Они могут также использоваться для оценки экспозиции солнечного излучения. Значения МВЭ не должны применяться при экспозиции пациентов оптическим излучением с целью медицинского лечения. Максимальные значения допустимой дозы при экспозиции излучением лазерных источников определены в МЭК 60825-1. Цель настоящего стандарта - определить требования для защиты человека от некогерентного оптического излучения в диапазоне длин волн от 180 нм до 1мм указывая безопасные уровни оптического излучения. Это излучение считается опасным для большинства индивидуумов; значения ниже безопасного уровня не вызывают никаких вредных эффектов. Только знание об этих уровнях и возможных эффектах воздействия на основе МВЭ позволяет определять экспозицию оптического излучения, безопасную для человека при восьмичасовом рабочем дне. Методы измерения показывают, как измерять и рассчитывать уровень оптической радиации для намерения сравнивать его с максимально допустимой экспозицией
Связи и замены
Заменяющий:
-
Изменения и переиздания
Список изменений:
№0 от (рег. ) «Текстовое изменение; Изменено заглавие»
Описание стандарта
ГОСТ Р МЭК/ТО 60825-9-2009 Безопасность лазерной аппаратуры. Часть 9. Компиляция максимально допустимой экспозиции некогерентного оптического излучения
Страницы стандарта































