ГОСТ 9931-85 Корпуса цилиндрические стальных сварных сосудов и аппаратов. Типы, основные параметры и размеры
ГОСТ
Скачать ГОСТ в PDF или DOC бесплатно
Основная информация
Обозначение:
ГОСТ 9931-85
Статус:
Действует
Тип:
ГОСТ
Название русское:
Корпуса цилиндрические стальных сварных сосудов и аппаратов. Типы, основные параметры и размеры
Название английское:
The cilindrical shells of the steel welded vessels and apparatus. Types, main characteristics and dimensions
Даты и сроки
Дата издания:
10-01-87
Дата введения в действие:
01-01-87
Дата завершения срока действия:
-
Применение и описание
Область и условия применения:
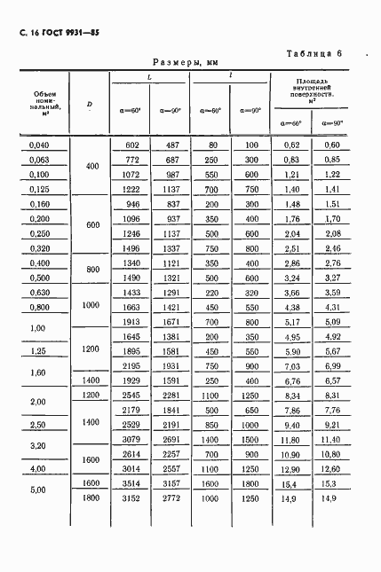
Настоящий стандарт распространяется на корпуса вновь разрабатываемых цилиндрических емкостных стальных сварных сосудов и аппаратов (в том числе с антикоррозионными покрытиями) номинальным объемом от 0,01 до 200 куб. м, предназначенных для работы под давлением не более 16,0 МПа (160 кгс/кв. см), под атмосферным давлением и под вакуумом с остаточным давлением не менее 667 Па (5 мм рт. ст.). Стандарт не распространяется на корпуса газгольдеров, баллонов, сосудов и аппаратов, устанавливаемых на транспортных средствах, а также сосудов и аппаратов, основные размеры которых определяются технологическим расчетом процесса
Связи и замены
Заменяющий:
-
Взамен:
ГОСТ 9931-79
Изменения и переиздания
Список изменений:
№1 от (рег. ) «Срок действия продлен»
Описание стандарта
ГОСТ 9931-85 Корпуса цилиндрические стальных сварных сосудов и аппаратов. Типы, основные параметры и размеры
Страницы стандарта






















