ГОСТ 1639-2009 Лом и отходы цветных металлов и сплавов. Общие технические условия
ГОСТ
Скачать ГОСТ в PDF или DOC бесплатно
Основная информация
Обозначение:
ГОСТ 1639-2009
Статус:
Утратил силу в РФ
Тип:
ГОСТ
Название русское:
Лом и отходы цветных металлов и сплавов. Общие технические условия
Название английское:
Non-ferrous metals and alloys scrap and waste. General specifications
Даты и сроки
Дата регистрации:
06-11-09
Дата издания:
02-01-11
Дата введения в действие:
01-01-11
Дата завершения срока действия:
04-01-17
Применение и описание
Область и условия применения:
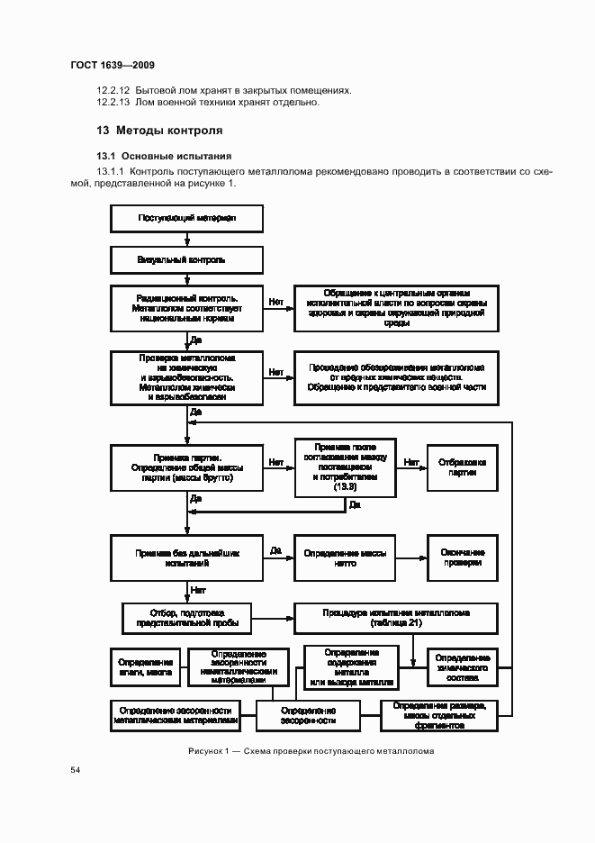
Настоящий стандарт распространяется на лом и отходы цветных металлов и сплавов, предназначенные для дальнейшей механической и металлургической переработки
Связи и замены
Заменяющий:
-
Взамен:
ГОСТ 1639-93
Изменения и переиздания
Список изменений:
№0 от (рег. ) «Поправка к изменению»
Описание стандарта
ГОСТ 1639-2009 Лом и отходы цветных металлов и сплавов. Общие технические условия
Страницы стандарта





































































