ГОСТ 6511-2014 Прутки оловянно-цинковой бронзы. Технические условия
ГОСТ
Скачать ГОСТ в PDF или DOC бесплатно
Основная информация
Обозначение:
ГОСТ 6511-2014
Статус:
Действует
Тип:
ГОСТ
Название русское:
Прутки оловянно-цинковой бронзы. Технические условия
Название английское:
Wrought tin-zinc bronze rods. Specifications
Даты и сроки
Дата регистрации:
11-14-14
Дата издания:
03-02-15
Дата введения в действие:
09-01-15
Дата завершения срока действия:
-
Применение и описание
Область и условия применения:
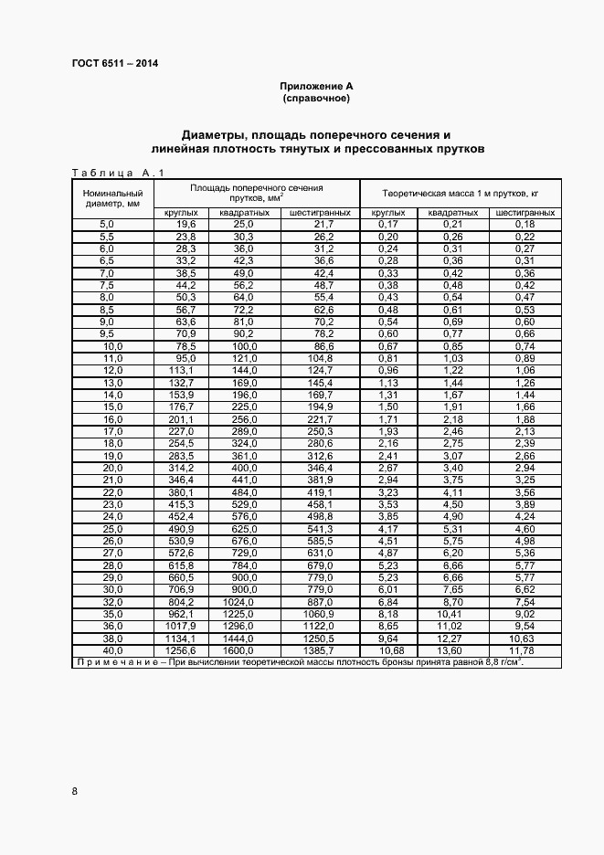
Настоящий стандарт распространяется на прутки тянутые круглого, квадратного и шестигранного сечений и прутки прессованные круглого сечения оловянно-цинковой бронзы, применяемые в различных отраслях промышленности. Стандарт устанавливает сортамент, технические требования, правила приемки, методы контроля и испытаний, маркировку, упаковку, транспортирование и хранение прутков
Связи и замены
Заменяющий:
-
Взамен:
ГОСТ 6511-60
Описание стандарта
ГОСТ 6511-2014 Прутки оловянно-цинковой бронзы. Технические условия
Страницы стандарта














