ГОСТ 2622-2016 Трубы манометрические из бронзы марки БрОФ4-0,25 и латуни марки Л63. Технические условия
ГОСТ
Скачать ГОСТ в PDF или DOC бесплатно
Основная информация
Обозначение:
ГОСТ 2622-2016
Статус:
Действует
Тип:
ГОСТ
Название русское:
Трубы манометрические из бронзы марки БрОФ4-0,25 и латуни марки Л63. Технические условия
Название английское:
Manometric tubes made of bronze BrOF4-0,25 and brass L63. Specifications
Даты и сроки
Дата регистрации:
02-29-16
Дата издания:
08-18-16
Дата введения в действие:
04-01-17
Дата завершения срока действия:
-
Применение и описание
Область и условия применения:
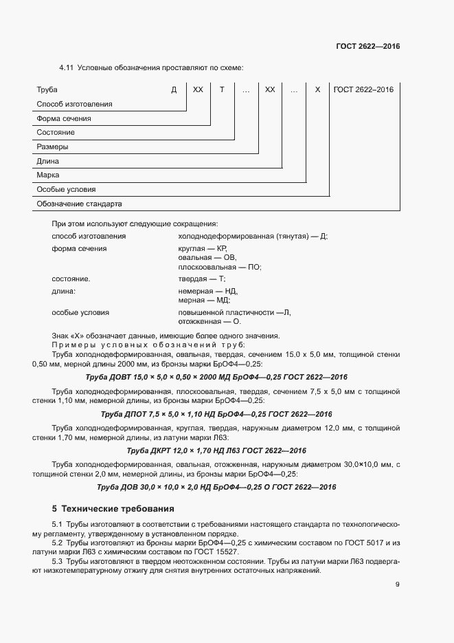
Настоящий стандарт распространяется на холоднодеформированные (тянутые) трубы из бронзы марки БрОФ4-0,25 и латуни марки Л63, предназначенные для изготовления манометрических пружин. Настоящий стандарт устанавливает сортамент, технические требования, правила приемки, методы контроля и испытаний, маркировку, упаковку, транспортирование и хранение труб
Связи и замены
Заменяющий:
-
Взамен:
ГОСТ 2622-75
Описание стандарта
ГОСТ 2622-2016 Трубы манометрические из бронзы марки БрОФ4-0,25 и латуни марки Л63. Технические условия
Страницы стандарта


















