ГОСТ Р 57517-2017 Проволока тянутая из алюминия и алюминиевых сплавов общего назначения. Технические условия
ГОСТ Р
Скачать ГОСТ в PDF или DOC бесплатно
Основная информация
Обозначение:
ГОСТ Р 57517-2017
Статус:
Действует
Тип:
ГОСТ Р
Название русское:
Проволока тянутая из алюминия и алюминиевых сплавов общего назначения. Технические условия
Название английское:
General-purpose aluminium and aluminium alloys drawn wire. Specifications
Даты и сроки
Дата издания:
07-11-17
Дата введения в действие:
02-01-18
Дата завершения срока действия:
-
Применение и описание
Область и условия применения:
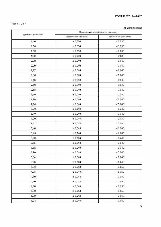
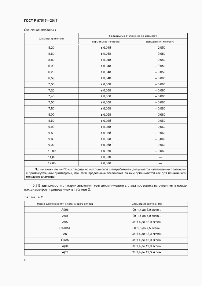
Настоящий стандарт распространяется на тянутую проволоку из алюминия марок А995, А99, А95, СвА85Т, А5, СвА5, АД0, АД1, АД и алюминиевых сплавов марок АМц, СвАМц, АМг2, АМг5П, АВч, АВП, Д1П, Д16П, Д18, В65, СвАК5 общего назначения
Связи и замены
Заменяющий:
-
Описание стандарта
ГОСТ Р 57517-2017 Проволока тянутая из алюминия и алюминиевых сплавов общего назначения. Технические условия
Страницы стандарта











