ГОСТ Р 50077-92 Профили прессованные косоугольные уголкового сечения из алюминиевых и магниевых сплавов. Сортамент
ГОСТ Р
Скачать ГОСТ в PDF или DOC бесплатно
Основная информация
Обозначение:
ГОСТ Р 50077-92
Статус:
Заменен
Тип:
ГОСТ Р
Название русское:
Профили прессованные косоугольные уголкового сечения из алюминиевых и магниевых сплавов. Сортамент
Название английское:
Extruded oblique angle section shapes of aluminium and magnesium alloys. Dimensions
Даты и сроки
Дата издания:
10-26-92
Дата введения в действие:
06-30-93
Дата завершения срока действия:
06-01-25
Применение и описание
Область и условия применения:
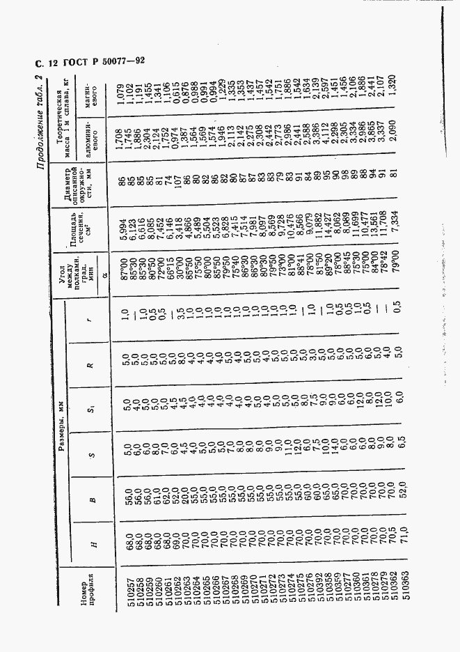
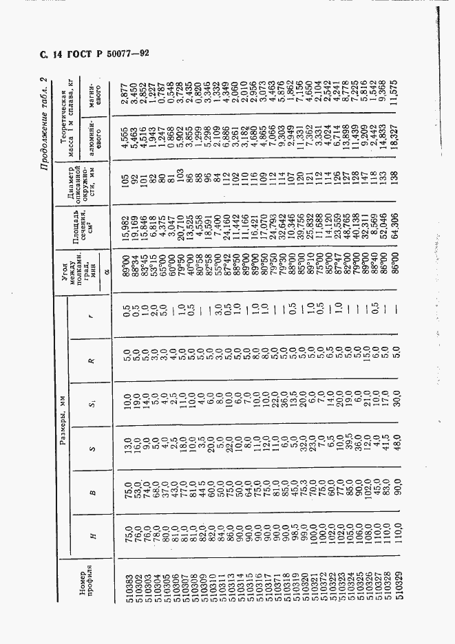
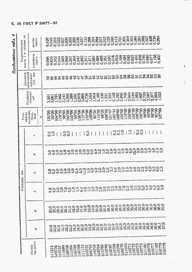
Настоящий стандарт устанавливает сортамент прессованных косоугольных профилей уголкового сечения из алюминия, алюминиевых и магниевых сплавов, изготовляемых методом горячего прессования. Профили подразделяются на: остроугольные: со срезом наклонной полки, параллельным горизонтальной полке; со срезом наклонной полки, перпендикулярным сторонам наклонной полки; тупоугольные: со срезом наклонной полки, параллельным горизонтальной полке; со срезом наклонной полки, перпендикулярным сторонам наклонной полки
Связи и замены
Заменяющий:
ГОСТ Р 50077-2025
Описание стандарта
ГОСТ Р 50077-92 Профили прессованные косоугольные уголкового сечения из алюминиевых и магниевых сплавов. Сортамент
Страницы стандарта
































































