ГОСТ Р 52707-2007 Огнеупоры для разливки стали. Изделия огнеупорные для шиберных затворов сталеразливочных ковшей. Технические условия
ГОСТ Р
Скачать ГОСТ в PDF или DOC бесплатно
Основная информация
Обозначение:
ГОСТ Р 52707-2007
Статус:
Действует
Тип:
ГОСТ Р
Название русское:
Огнеупоры для разливки стали. Изделия огнеупорные для шиберных затворов сталеразливочных ковшей. Технические условия
Название английское:
Refractories for steel pouring. Refractory products for slide gates of casting ladles. Specifications
Даты и сроки
Дата издания:
06-21-07
Дата введения в действие:
01-01-08
Дата завершения срока действия:
-
Применение и описание
Область и условия применения:
Настоящий стандарт распространяется на огнеупорные изделия для шиберных затворов сталеразливочных ковшей: цельную плиту, составную плиту, состоящую из плиты под вкладыш и вкладыша, вставку, стакан, стакан-коллектор, гнездовой кирпич
Связи и замены
Заменяющий:
-
Изменения и переиздания
Список изменений:
№0 от (рег. ) «Дата введения перенесена» №1 от (рег. ) «Текстовое изменение; Изменены ссылочные НД»
Описание стандарта
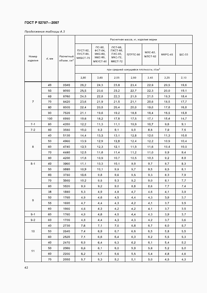
ГОСТ Р 52707-2007 Огнеупоры для разливки стали. Изделия огнеупорные для шиберных затворов сталеразливочных ковшей. Технические условия
Страницы стандарта



















































Приложение №1: Изменение №1 к ГОСТ Р 52707-2007 Обозначение: Изменение №1 к ГОСТ Р 52707-2007 Дата введения в действие: 01.09.2015

Приложение №2: Поправка к ГОСТ Р 52707-2007 Обозначение: Поправка к ГОСТ Р 52707-2007 Дата введения в действие: 19.11.2007
