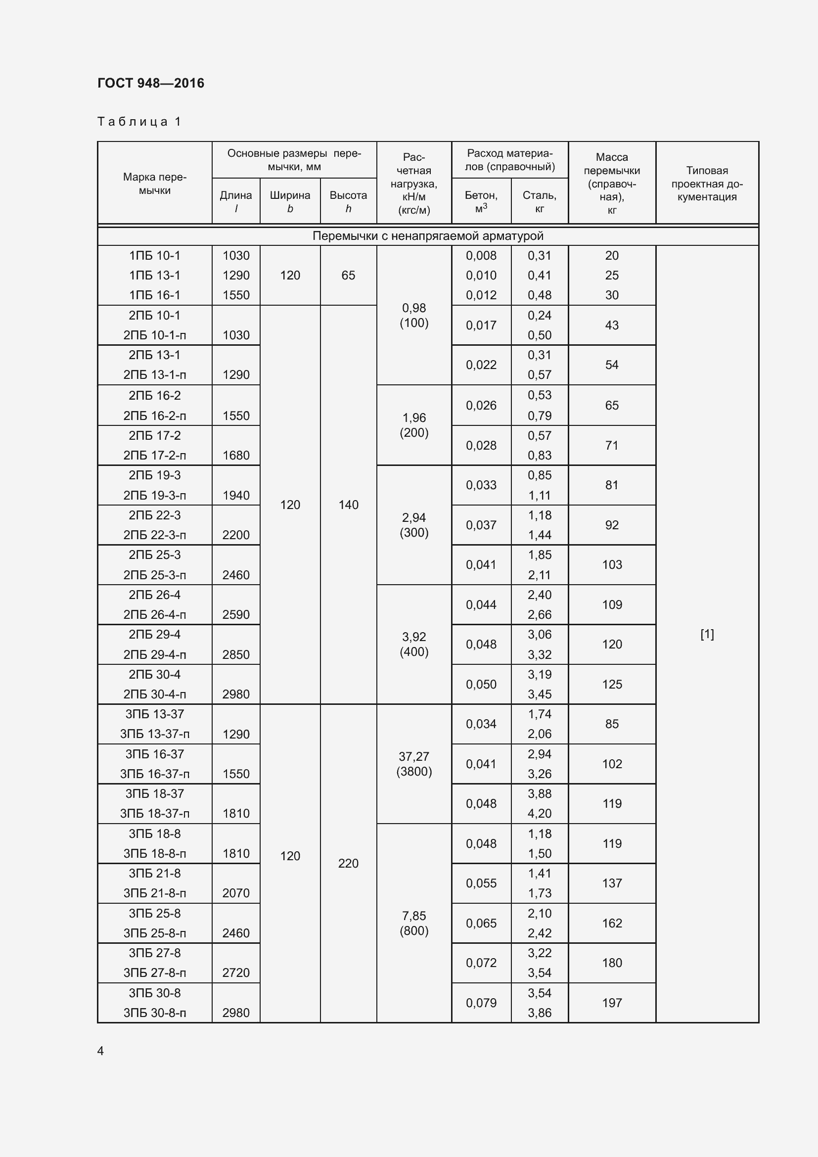
ГОСТ 948-2016 Перемычки железобетонные для зданий с кирпичными стенами. Технические условия
ГОСТ
Скачать ГОСТ в PDF или DOC бесплатно
Основная информация
Обозначение:
ГОСТ 948-2016
Статус:
Действует
Тип:
ГОСТ
Название русское:
Перемычки железобетонные для зданий с кирпичными стенами. Технические условия
Название английское:
Reinforced concrete lintels for brick wall buildings. Specifications
Даты и сроки
Дата регистрации:
05-25-16
Дата издания:
10-31-16
Дата введения в действие:
03-01-17
Дата завершения срока действия:
-
Применение и описание
Область и условия применения:
Настоящий стандарт устанавливает типы, основные параметры и размеры железобетонных перемычек, общие технические требования к ним. Настоящий стандарт распространяется на железобетонные перемычки, изготовляемые из тяжелого бетона и предназначенные для перекрытия проемов в кирпичных стенах зданий различного назначения. Допускается применение перемычек для перекрытия проемов в стенах из искусственных и природных камней. Перемычки, предназначенные для эксплуатации в условиях воздействия агрессивной среды, а также в зданиях с расчетной сейсмичностью 7 баллов и более, должны удовлетворять дополнительным требованиям, установленным проектной документацией здания в соответствии с требованиями действующих нормативных документов*, указанным в заказе на изготовление перемычек
Приложение №1:
Изменение №1 к ГОСТ 948-2016 Обозначение: Изменение №1 к ГОСТ 948-2016 Дата введения в действие: 01.06.2025
Связи и замены
Заменяющий:
-
Взамен:
ГОСТ 948-84
Описание стандарта
ГОСТ 948-2016 Перемычки железобетонные для зданий с кирпичными стенами. Технические условия
Страницы стандарта






























Приложение №1: Изменение №1 к ГОСТ 948-2016 Обозначение: Изменение №1 к ГОСТ 948-2016 Дата введения в действие: 01.06.2025

Приложение №1: Изменение №1 к ГОСТ 948-2016 Обозначение: Изменение №1 к ГОСТ 948-2016 Дата введения в действие: 01.06.2025

Приложение №1: Изменение №1 к ГОСТ 948-2016 Обозначение: Изменение №1 к ГОСТ 948-2016 Дата введения в действие: 01.06.2025

Приложение №1: Изменение №1 к ГОСТ 948-2016 Обозначение: Изменение №1 к ГОСТ 948-2016 Дата введения в действие: 01.06.2025

Приложение №2: Поправка к ГОСТ 948-2016 Обозначение: Поправка к ГОСТ 948-2016 Дата введения в действие: 30.12.2021

Приложение №3: Поправка к ГОСТ 948-2016 Обозначение: Поправка к ГОСТ 948-2016 Дата введения в действие: 13.07.2023
