ГОСТ Р 50431-92 Термопары. Часть 1. Номинальные статические характеристики преобразования
ГОСТ Р
Основная информация
Обозначение:
ГОСТ Р 50431-92
Статус:
Заменен
Тип:
ГОСТ Р
Название русское:
Термопары. Часть 1. Номинальные статические характеристики преобразования
Название английское:
Termocouplers. Part 1. Nominal static graduation tables
Даты и сроки
Дата издания:
04-28-93
Дата введения в действие:
01-01-94
Дата завершения срока действия:
07-01-02
Применение и описание
Область и условия применения:
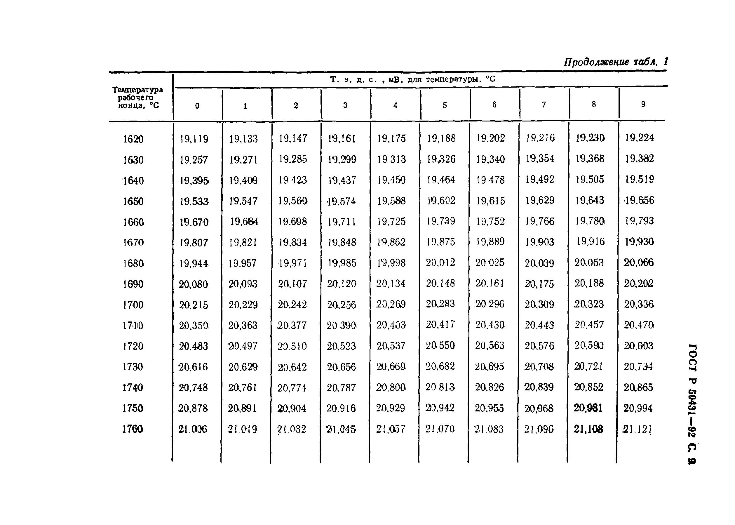
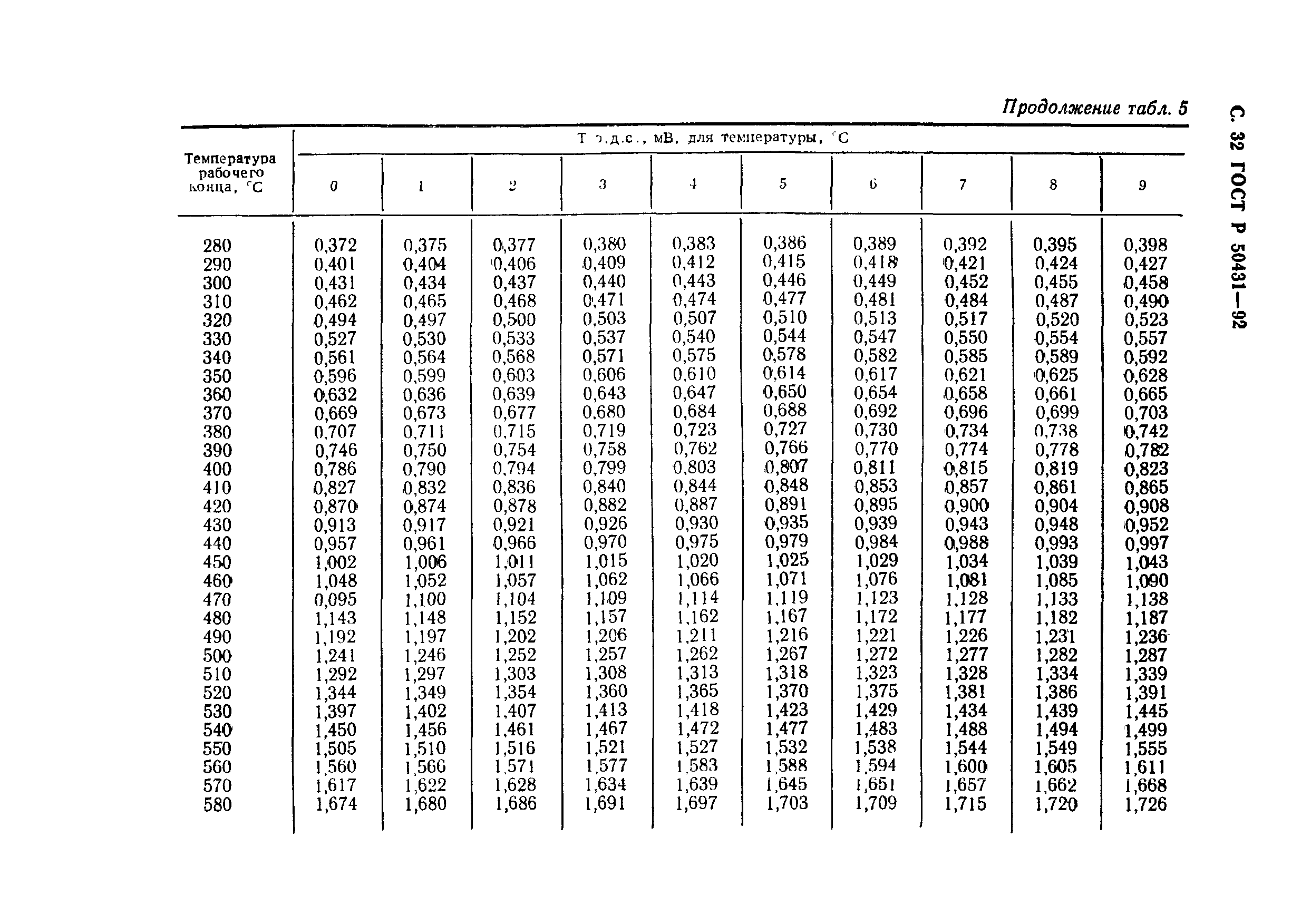
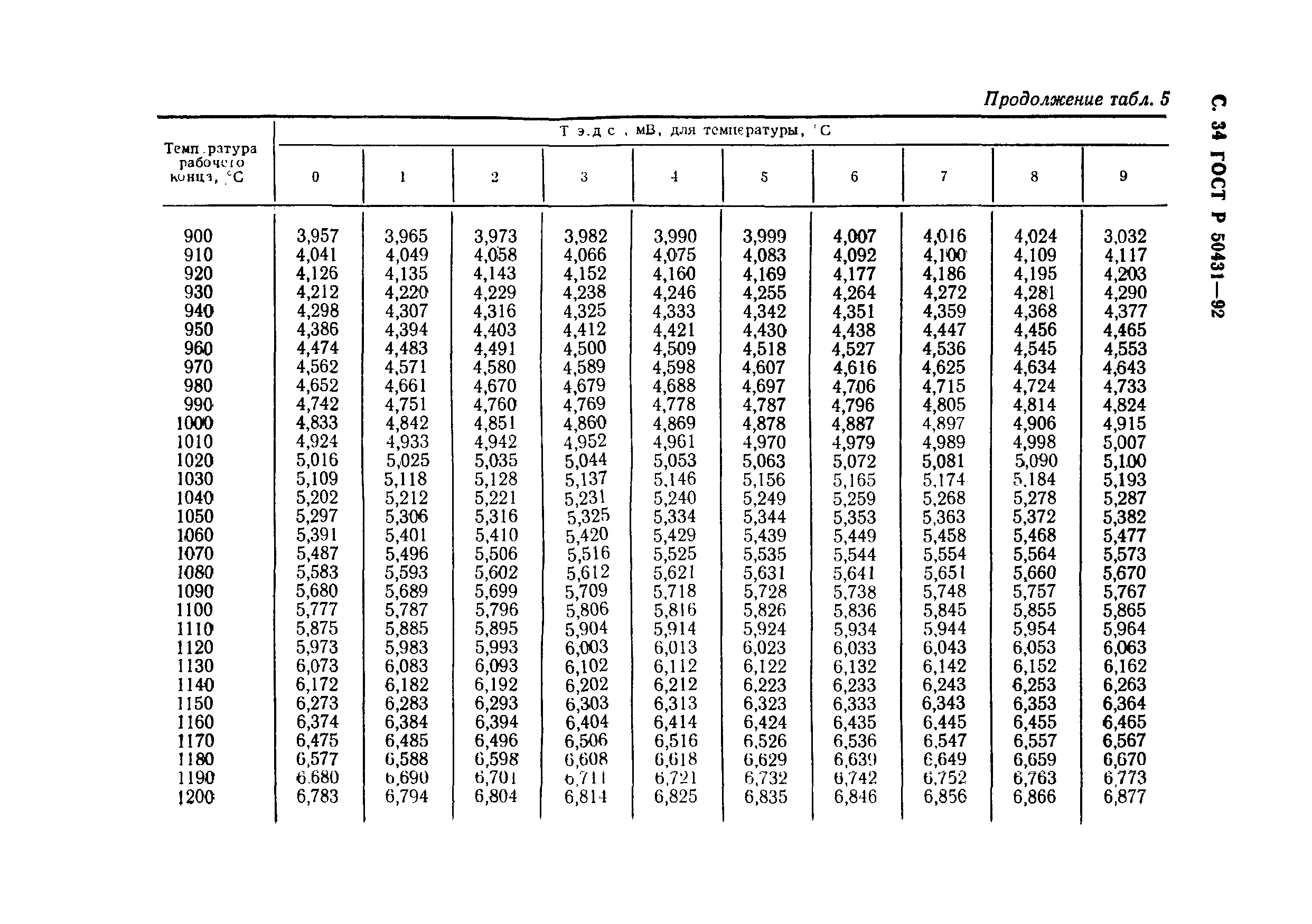
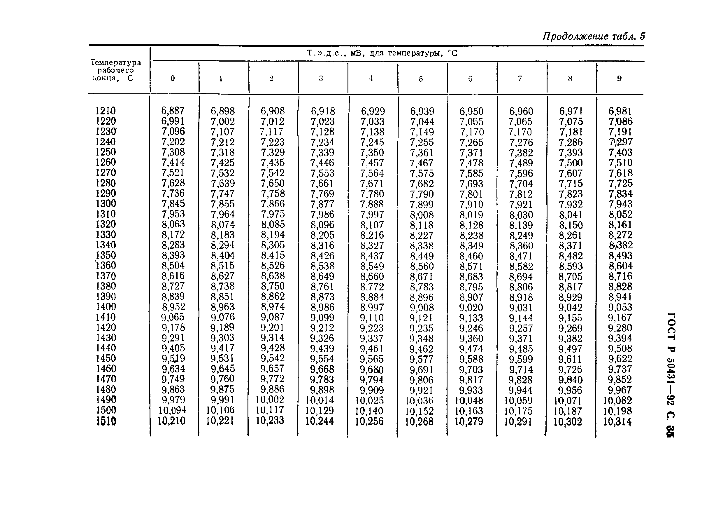
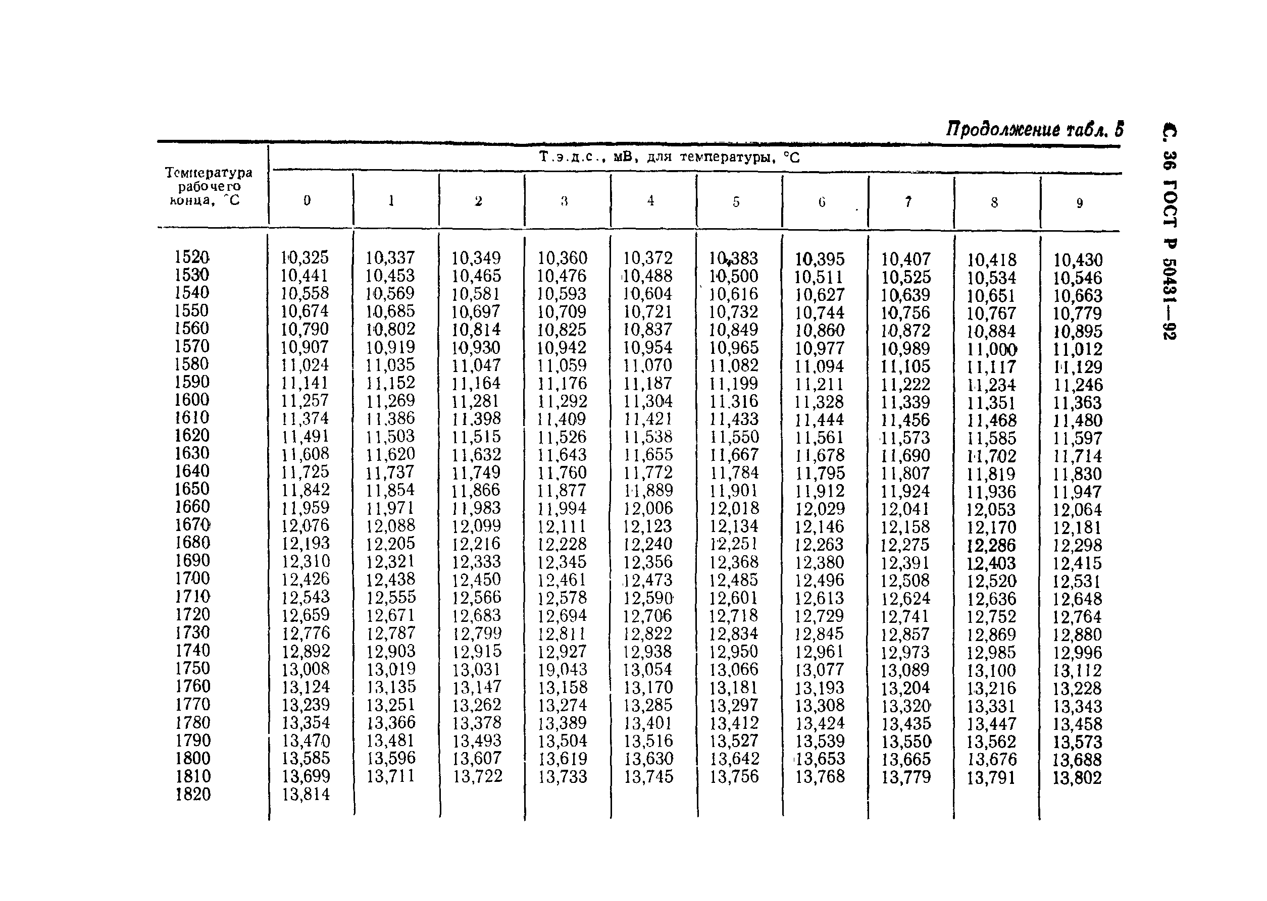
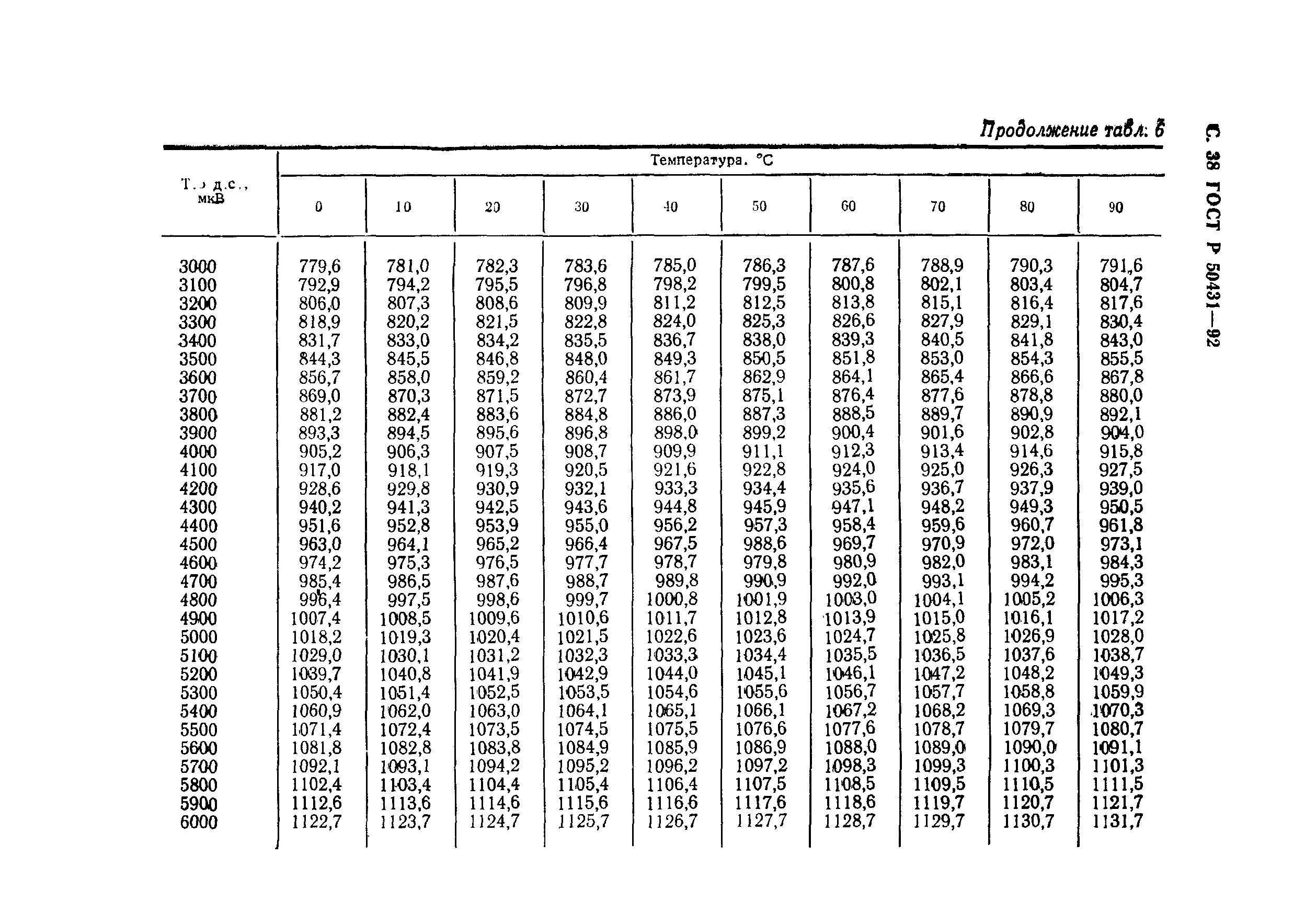
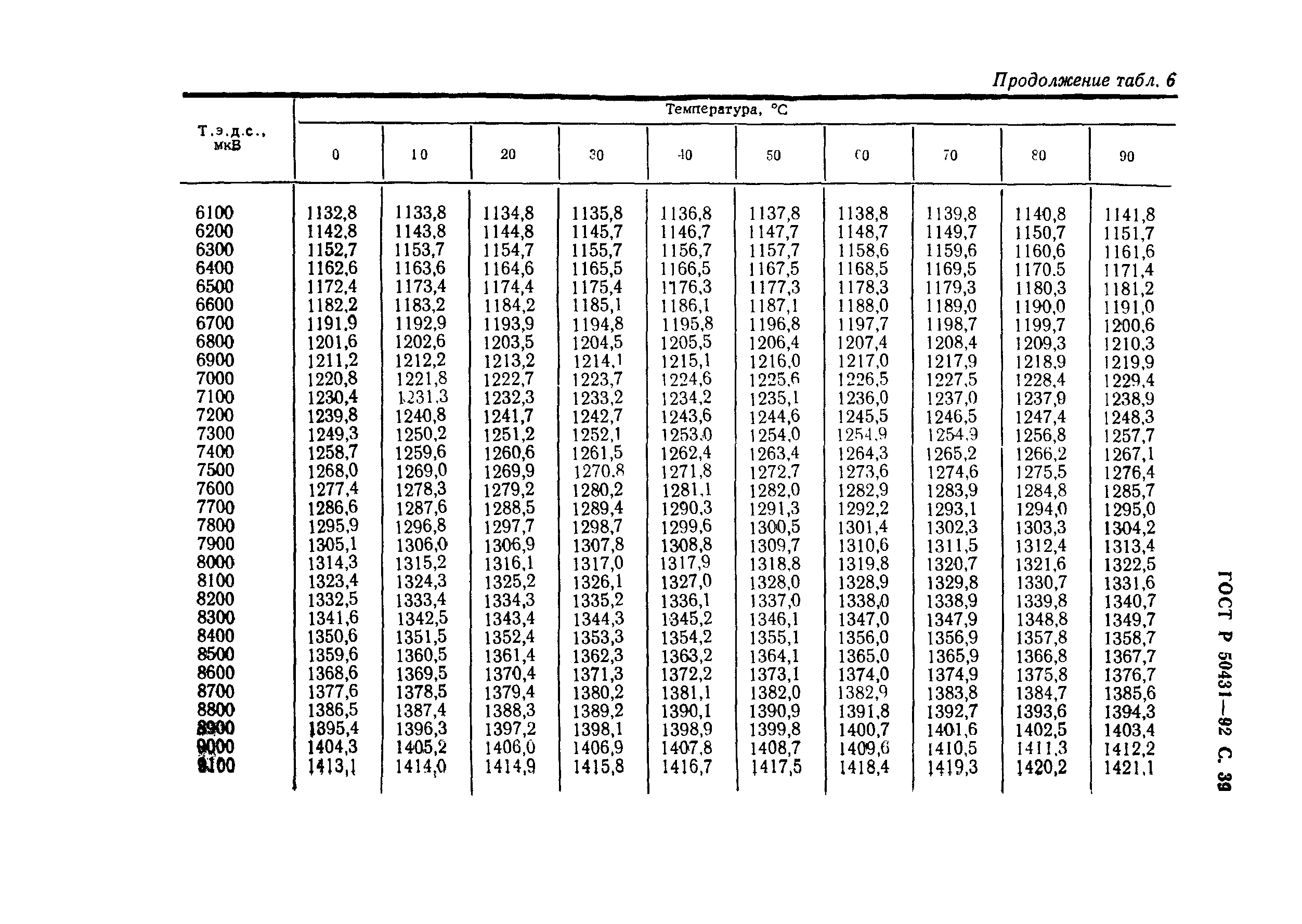
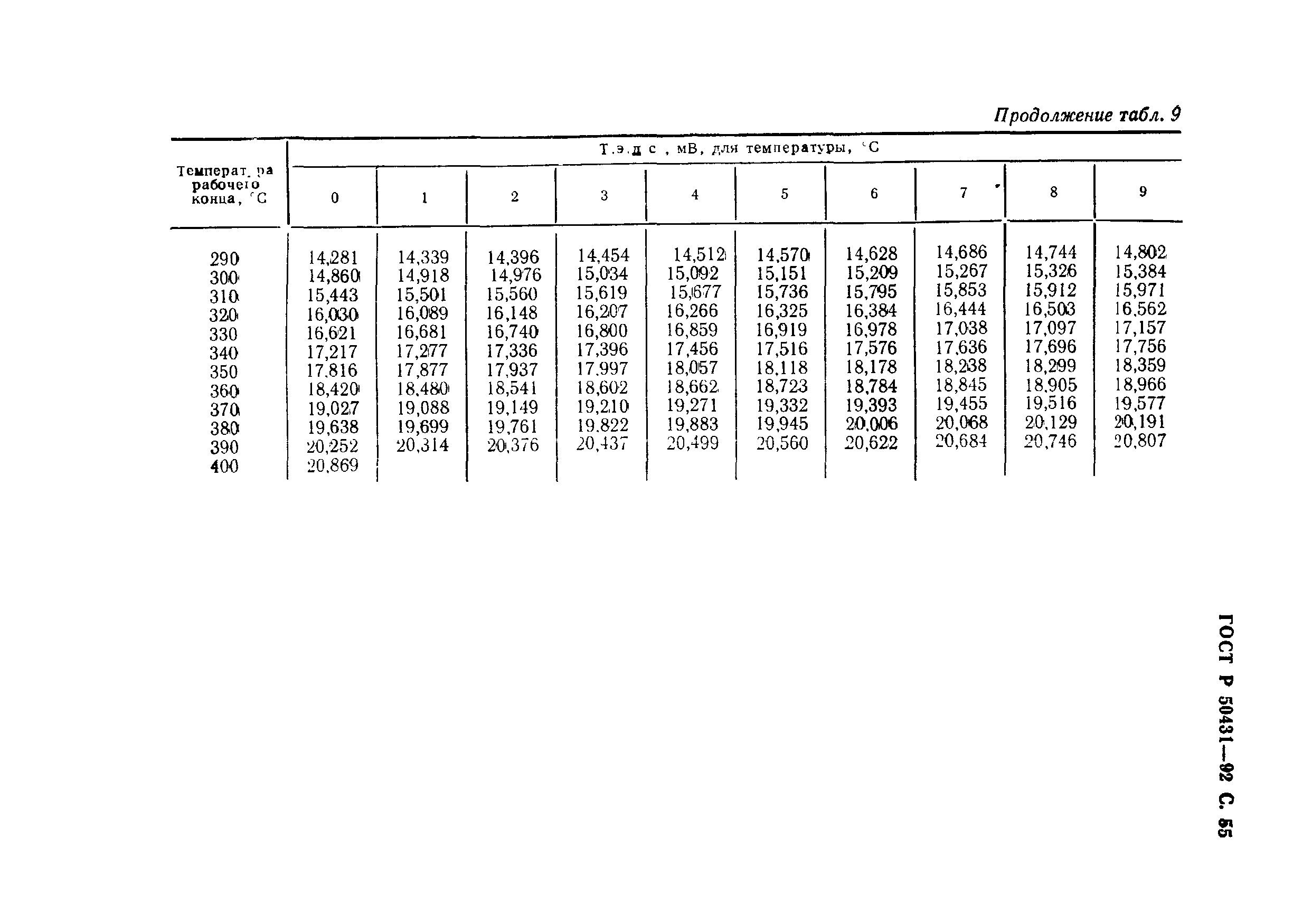
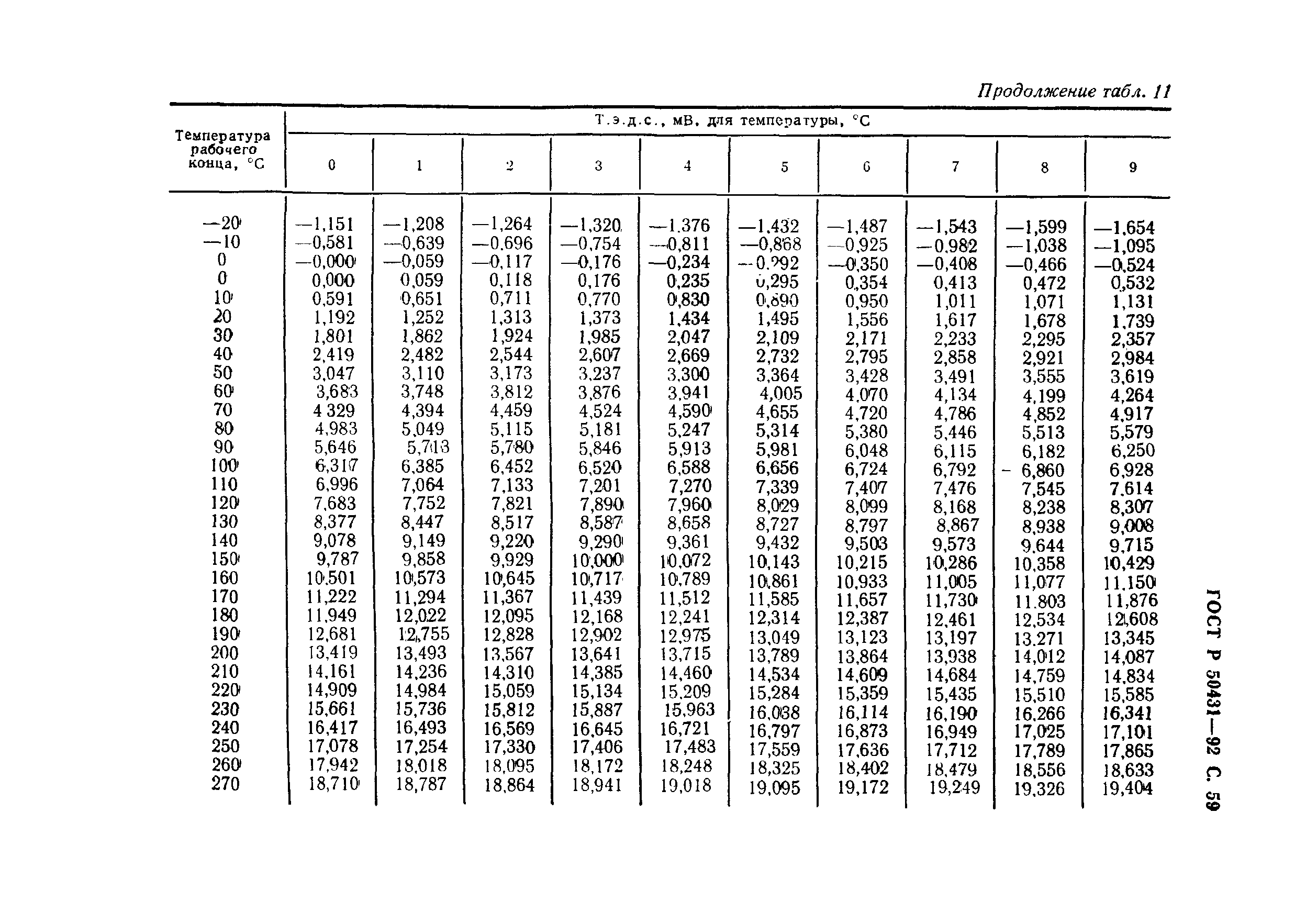
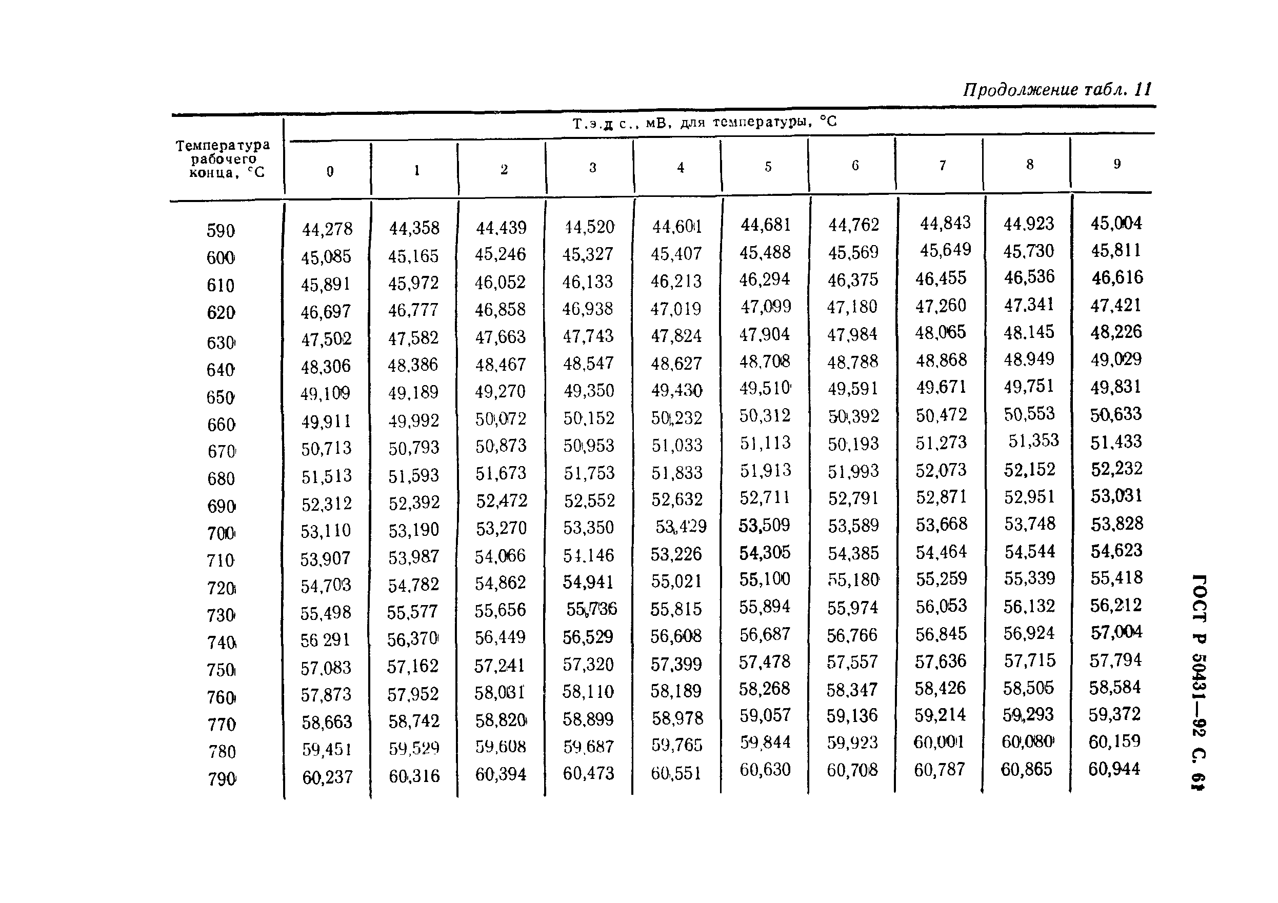
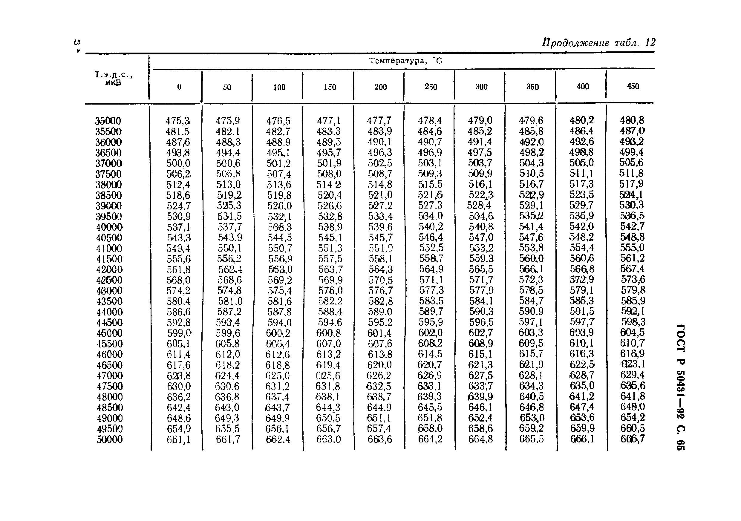
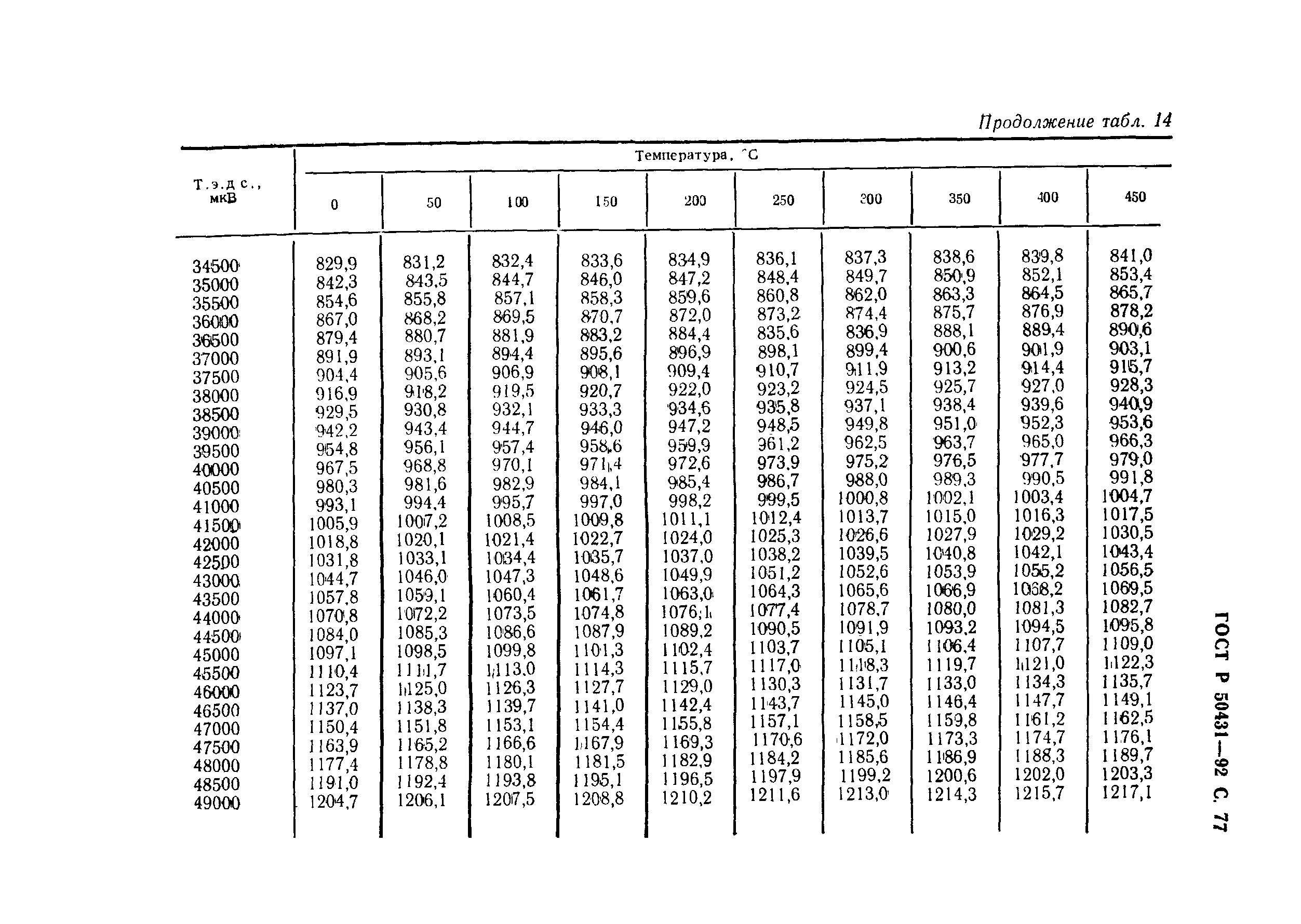
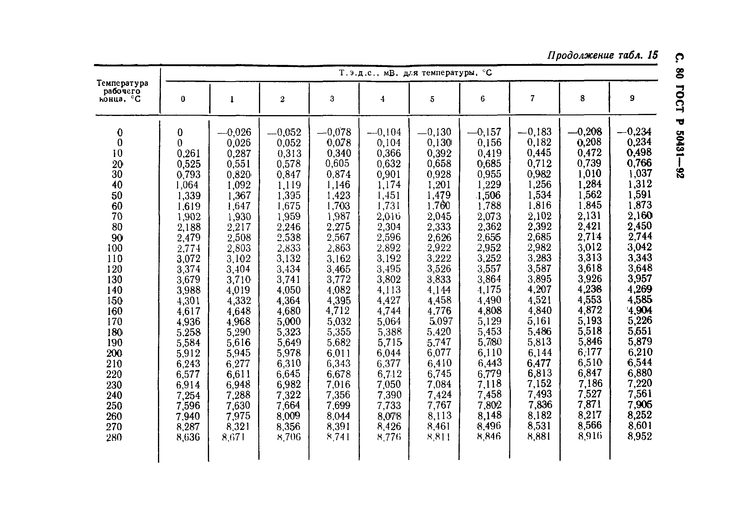
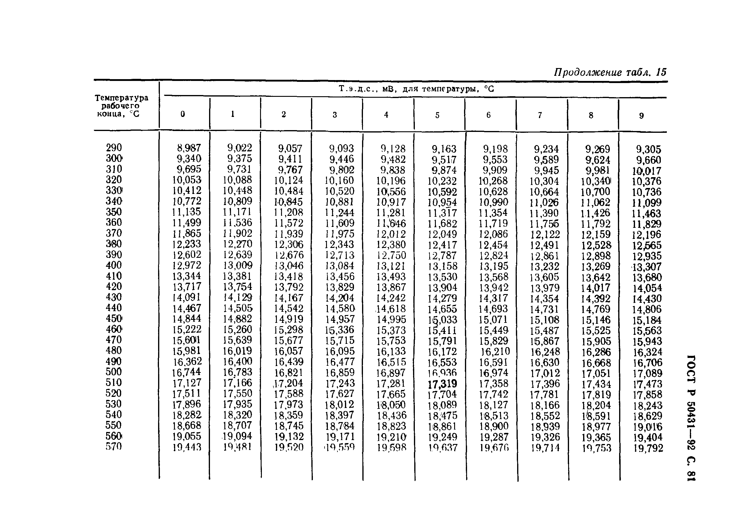
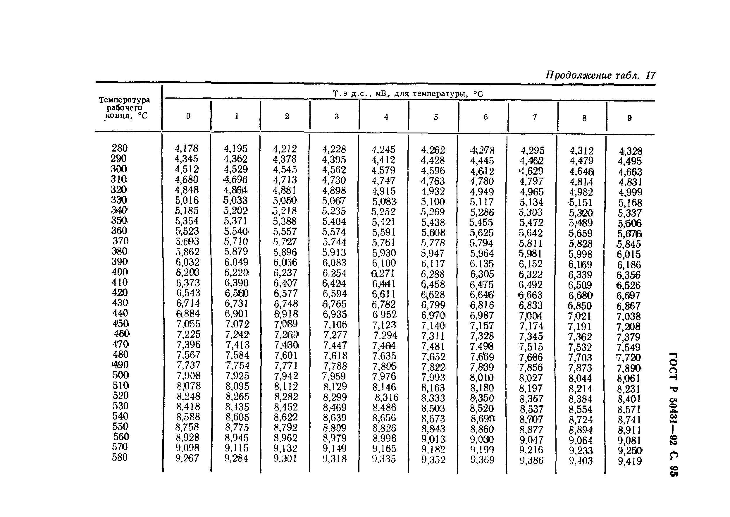
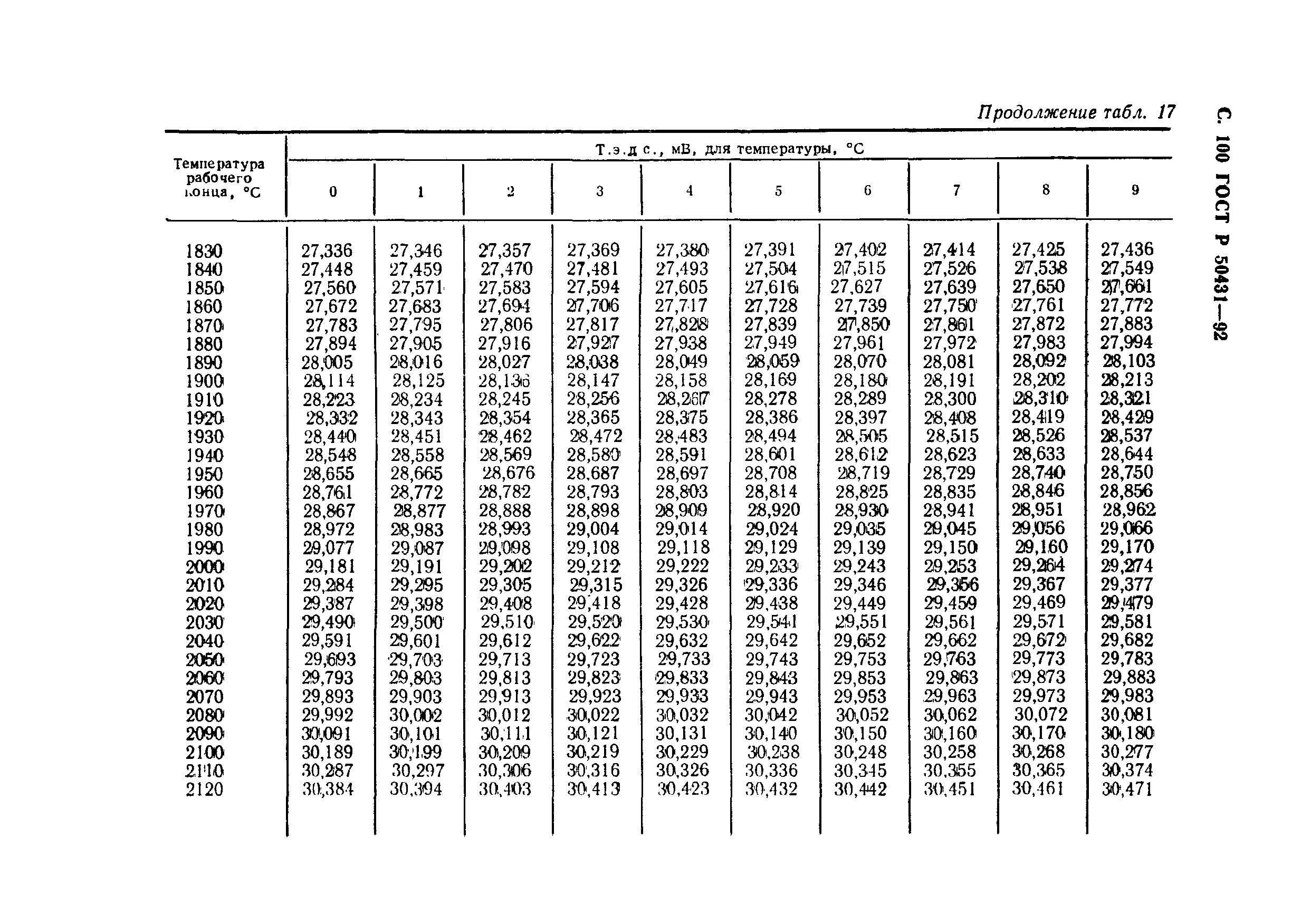
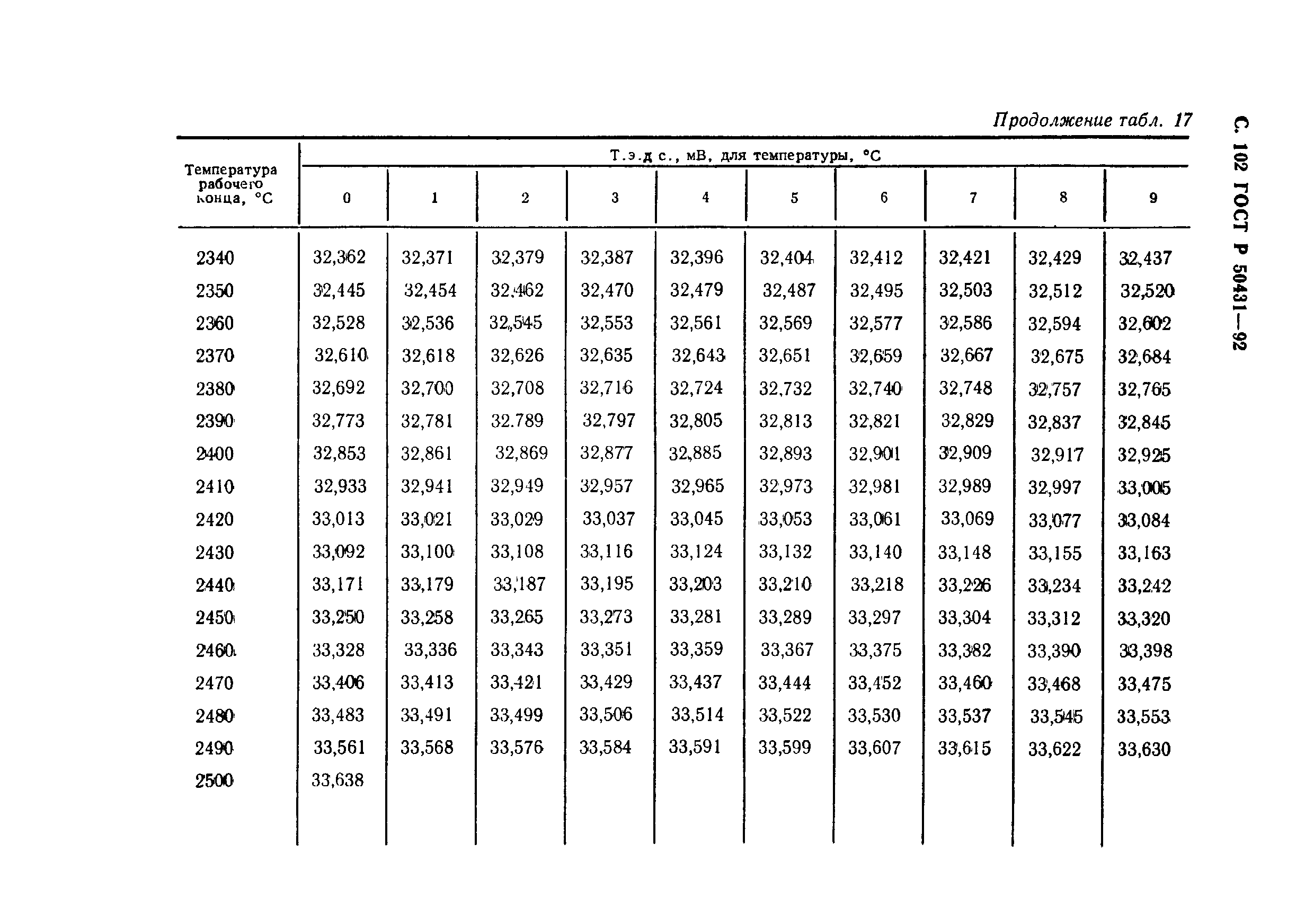
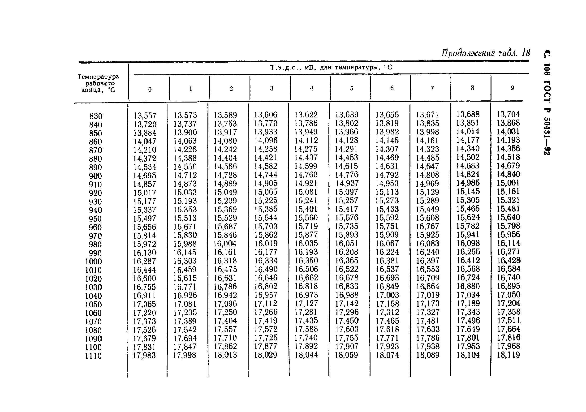
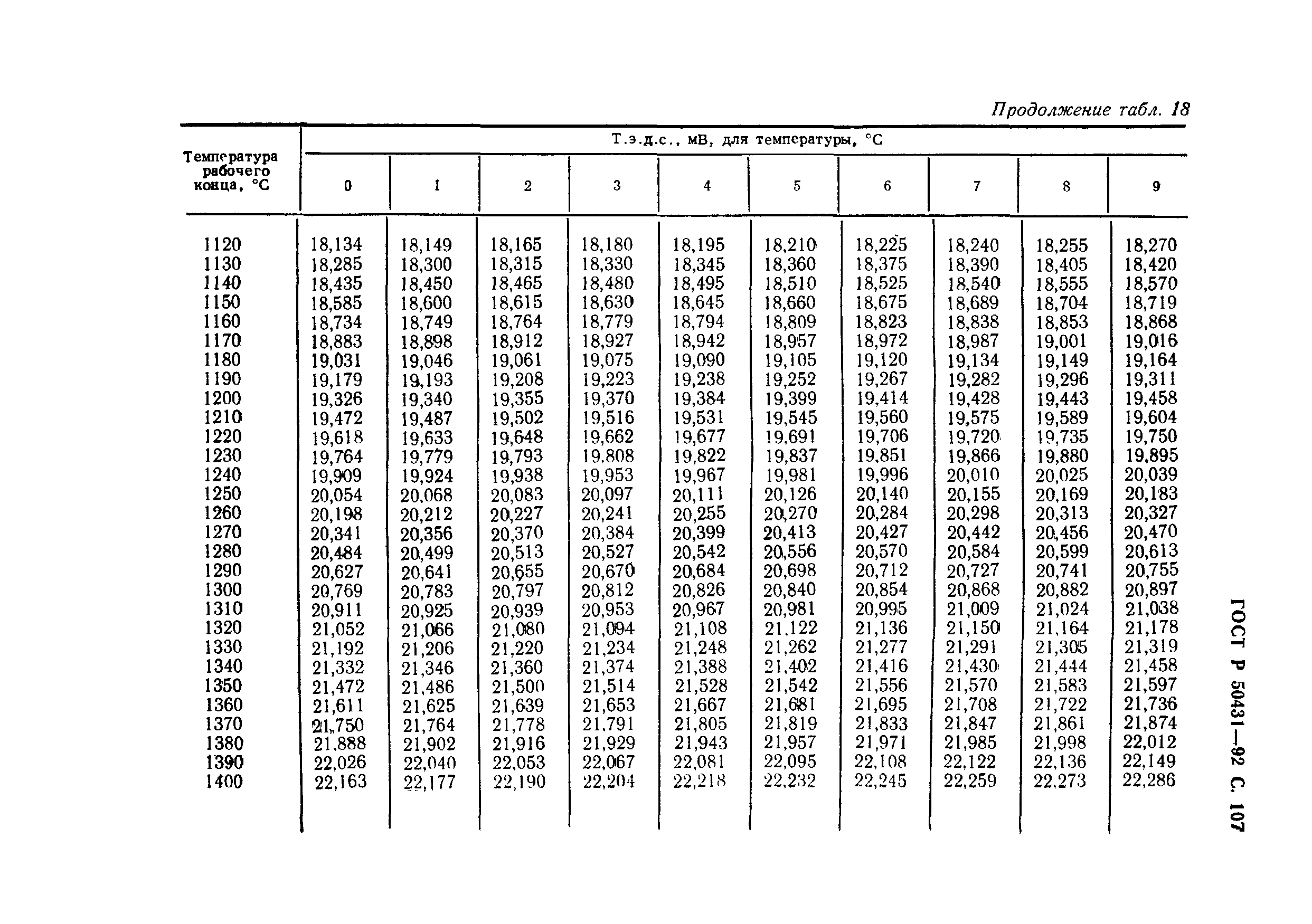
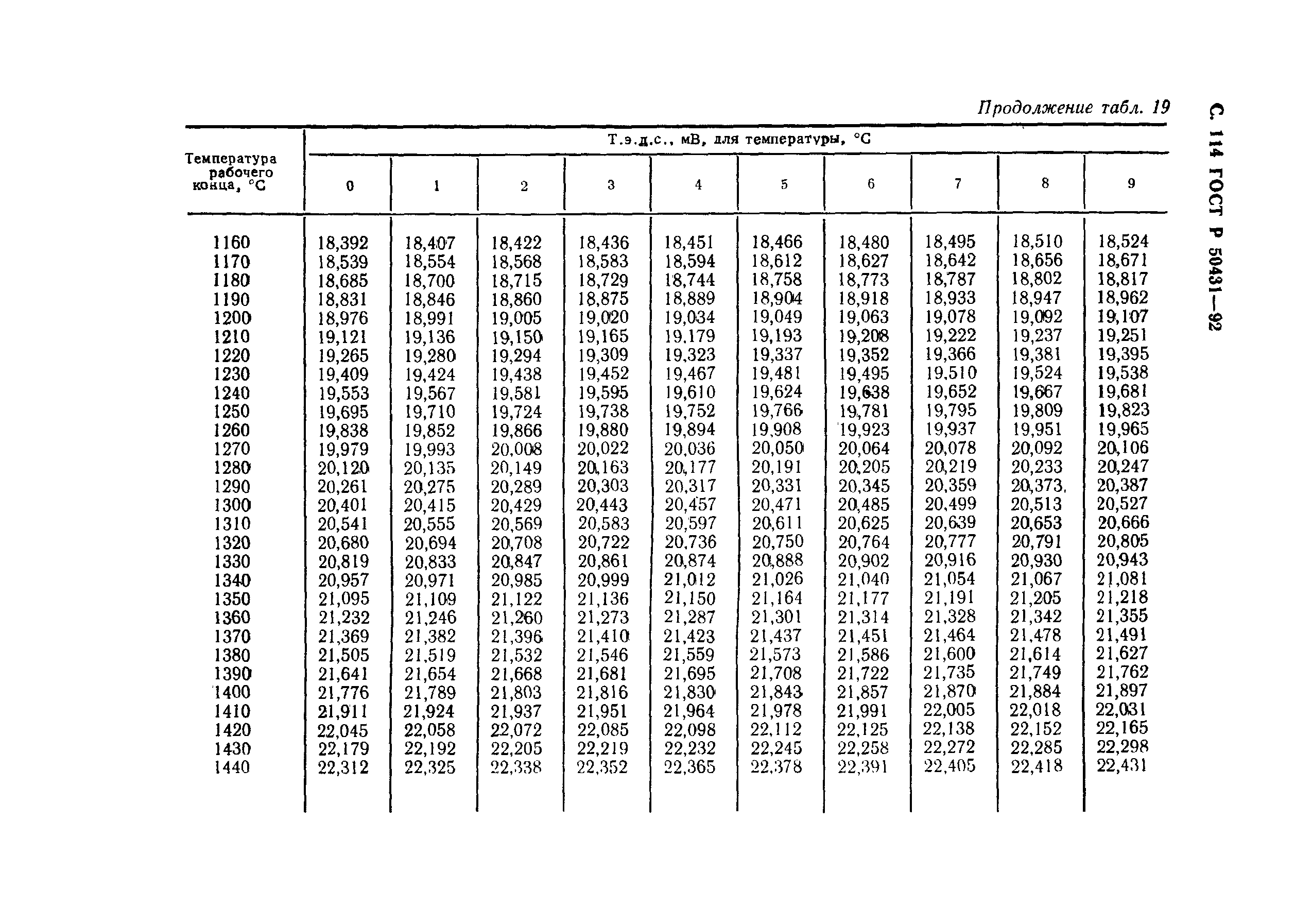
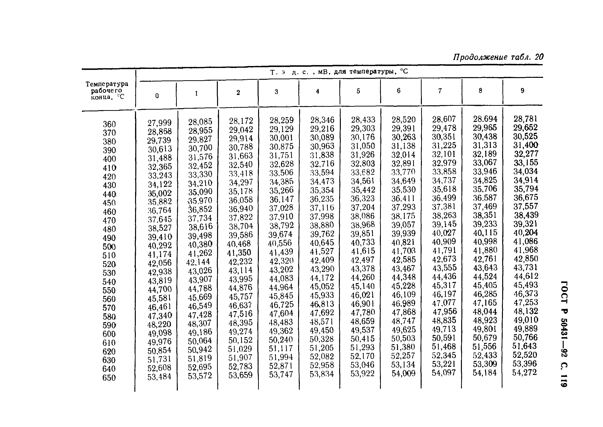
Настоящий стандарт устанавливает номинальные статические характеристики преобразования термопар, т.е. зависимость термоэлектродвижущей силы термопар от температуры рабочего конца при нулевой температуре свободных концов и обратную зависимость
Связи и замены
Заменяющий:
ГОСТ Р 8.585-2001
Описание стандарта
ГОСТ Р 50431-92 Термопары. Часть 1. Номинальные статические характеристики преобразования
Страницы стандарта



































































































































