ГОСТ Р 52222-2004 Флюсы сварочные плавленые для автоматической сварки. Технические условия
ГОСТ Р
Скачать ГОСТ в PDF или DOC бесплатно
Основная информация
Обозначение:
ГОСТ Р 52222-2004
Статус:
Действует
Тип:
ГОСТ Р
Название русское:
Флюсы сварочные плавленые для автоматической сварки. Технические условия
Название английское:
Fused fluxes for automatic welding. Specifications
Даты и сроки
Дата издания:
03-30-04
Дата введения в действие:
01-01-05
Дата завершения срока действия:
-
Применение и описание
Область и условия применения:
Настоящий стандарт распространяется на сварочные плавленые флюсы, применяемые для автоматической и механизированной сварки сталей и наплавки
Связи и замены
Заменяющий:
-
Изменения и переиздания
Список изменений:
№0 от (рег. ) «Дата введения перенесена»
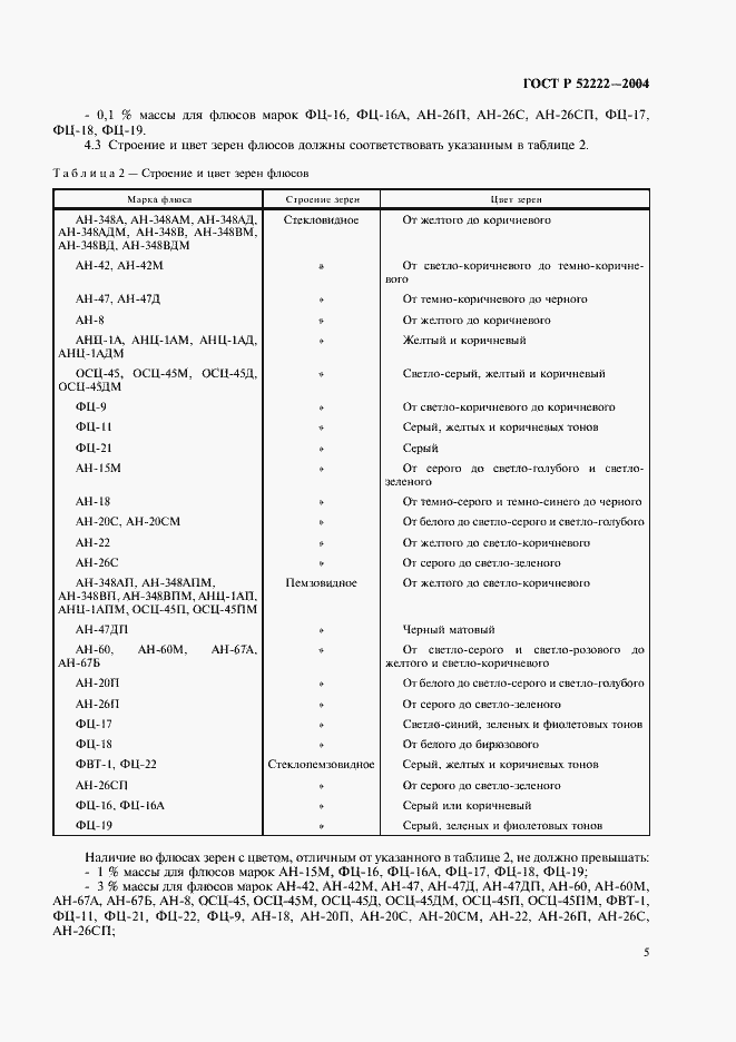
Описание стандарта
ГОСТ Р 52222-2004 Флюсы сварочные плавленые для автоматической сварки. Технические условия
Страницы стандарта
















Приложение №1: Поправка к ГОСТ Р 52222-2004 Обозначение: Поправка к ГОСТ Р 52222-2004 Дата введения в действие: 01.04.2005
