ГОСТ Р 53214-2008 Продукты пищевые. Методы анализа для обнаружения генетически модифицированных организмов и полученных из них продуктов. Общие требования и определения
ГОСТ Р
Скачать ГОСТ в PDF или DOC бесплатно
Основная информация
Обозначение:
ГОСТ Р 53214-2008
Статус:
Действует
Тип:
ГОСТ Р
Название русское:
Продукты пищевые. Методы анализа для обнаружения генетически модифицированных организмов и полученных из них продуктов. Общие требования и определения
Название английское:
Foodstuffs. Methods of analysis for the detection of genetically modified organisms and derived products. General requirements and definitions
Даты и сроки
Дата издания:
06-29-20
Дата введения в действие:
01-01-10
Дата завершения срока действия:
-
Применение и описание
Область и условия применения:
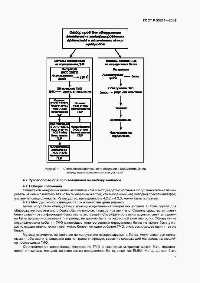
Настоящий стандарт содержит общие термины и определения, требования и руководящие указания для организации лабораторий, требования к методу подтверждения достоверности, описание методов и протоколов испытаний. Настоящий стандарт распространяется на пищевые продукты, а также семена, корма и растительные образцы, отобранные из окружающей среды
Связи и замены
Заменяющий:
-
Описание стандарта
ГОСТ Р 53214-2008 Продукты пищевые. Методы анализа для обнаружения генетически модифицированных организмов и полученных из них продуктов. Общие требования и определения
Страницы стандарта



















