ГОСТ Р 60.2.7.1-2024 Роботы и робототехнические устройства. Модульный принцип построения сервисных роботов. Часть 201. Общая информационная модель модулей
ГОСТ Р
Скачать ГОСТ в PDF или DOC бесплатно
Основная информация
Обозначение:
ГОСТ Р 60.2.7.1-2024
Статус:
Действует
Тип:
ГОСТ Р
Название русское:
Роботы и робототехнические устройства. Модульный принцип построения сервисных роботов. Часть 201. Общая информационная модель модулей
Название английское:
Robots and robotic devices. Modular principle of service robots structure. Part 201. Common information model for modules
Даты и сроки
Дата издания:
12-03-24
Дата введения в действие:
01-01-25
Дата завершения срока действия:
-
Применение и описание
Область и условия применения:
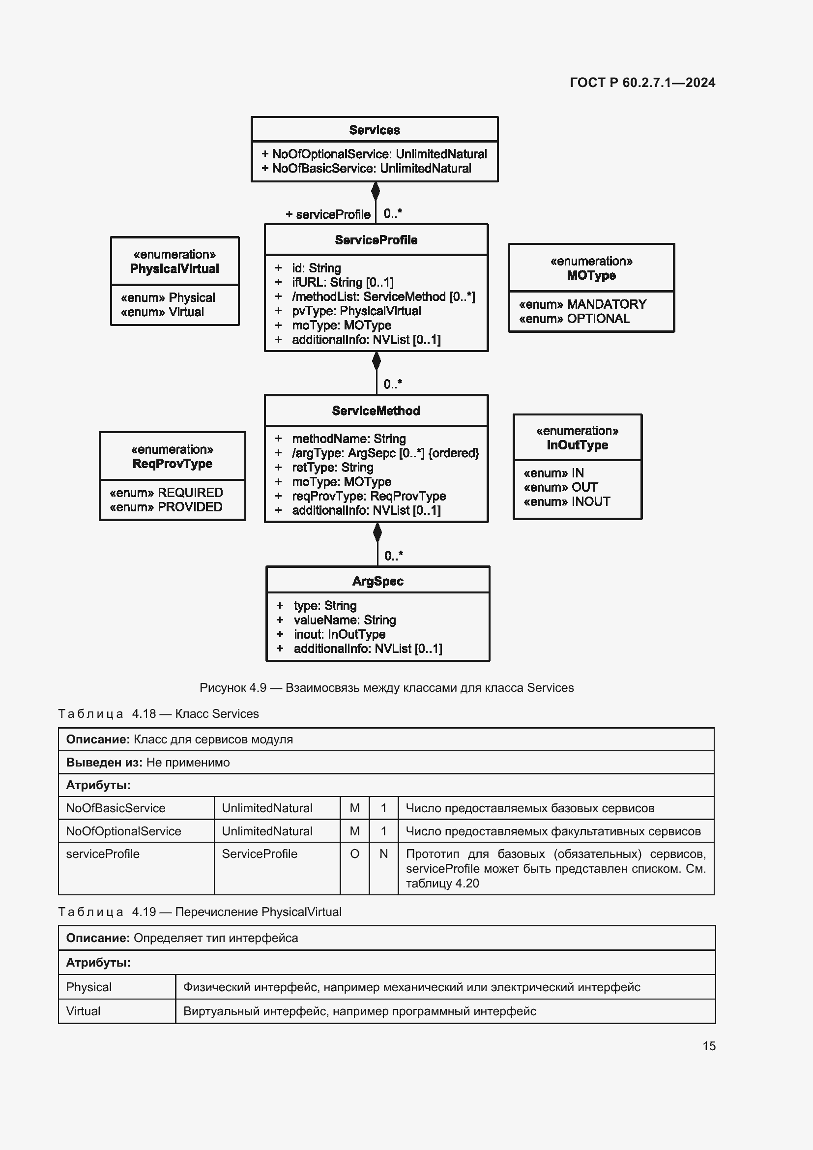
Настоящий стандарт определяет требования и руководящие указания к общей информационной модели (ОИМ) модулей сервисных роботов для обеспечения интероперабельности, возможности повторного использования и компонуемости. Настоящий стандарт определяет структуру ОИМ и детализирует ее использование по назначению, сущность атрибутов и подклассов. Требования настоящего стандарта применимы к сервисным роботам
Связи и замены
Заменяющий:
-
Описание стандарта
ГОСТ Р 60.2.7.1-2024 Роботы и робототехнические устройства. Модульный принцип построения сервисных роботов. Часть 201. Общая информационная модель модулей
Страницы стандарта



































































