ГОСТ Р 8.843-2013 Государственная система обеспечения единства измерений. Средства измерений силы излучения и эффективности полупроводниковых излучающих диодов. Методика поверки
ГОСТ Р
Скачать ГОСТ в PDF или DOC бесплатно
Основная информация
Обозначение:
ГОСТ Р 8.843-2013
Статус:
Действует
Тип:
ГОСТ Р
Название русское:
Государственная система обеспечения единства измерений. Средства измерений силы излучения и эффективности полупроводниковых излучающих диодов. Методика поверки
Название английское:
State system for ensuring the uniformity of measurement. Insruments of measurement of radiant power semiconductor emitter diode. Verification procedure
Даты и сроки
Дата издания:
05-20-19
Дата введения в действие:
02-01-15
Дата завершения срока действия:
-
Применение и описание
Область и условия применения:
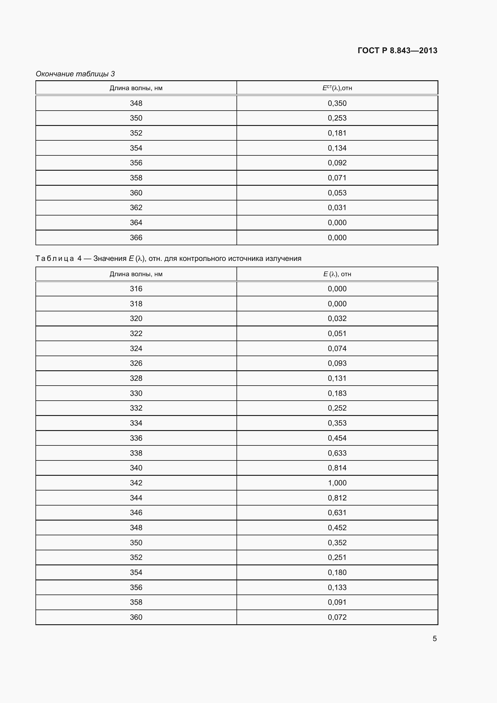
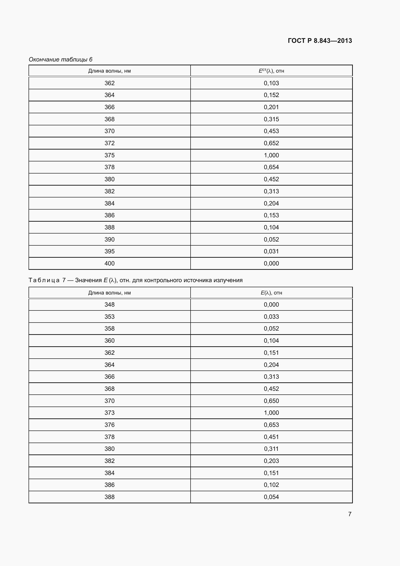
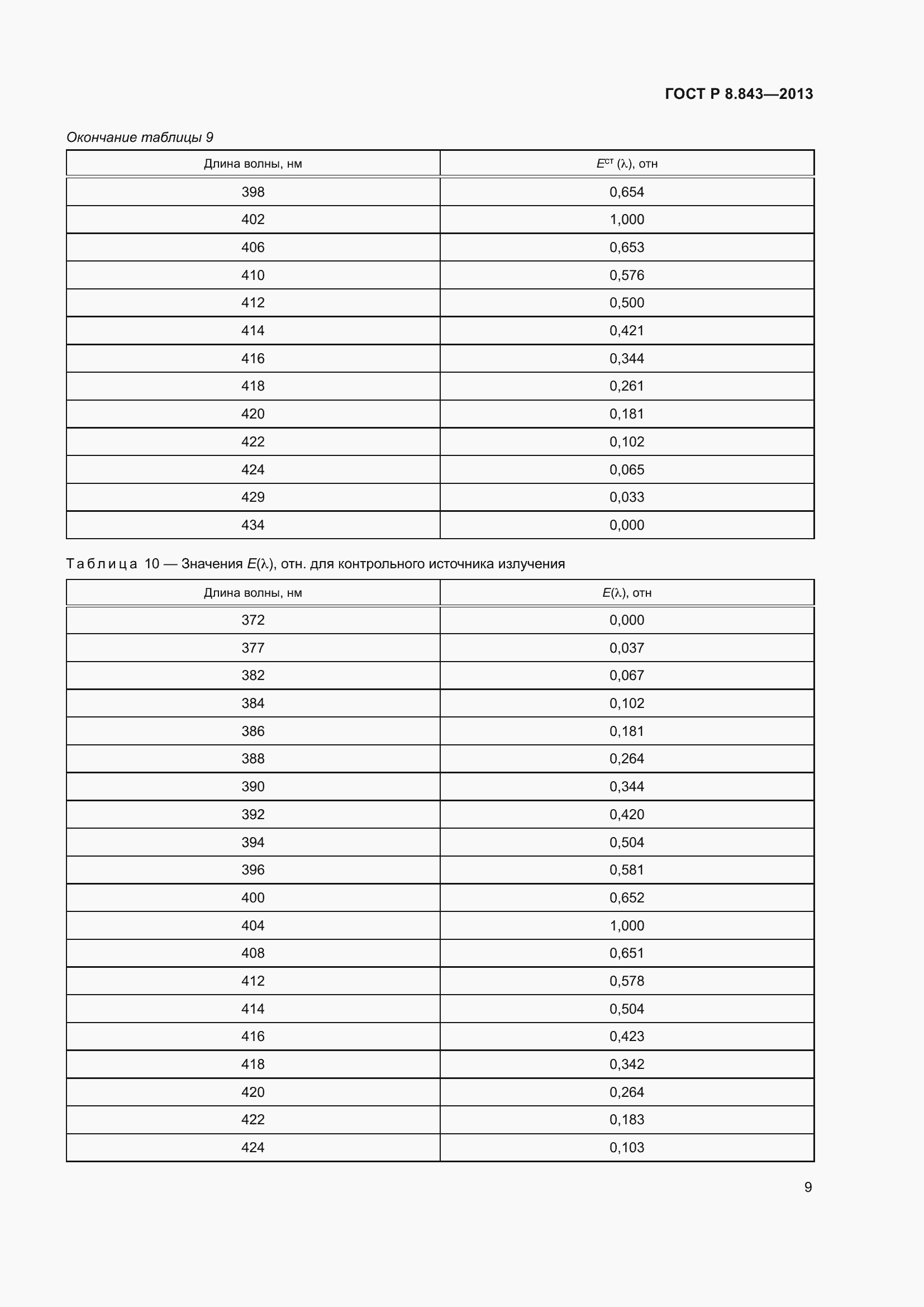
Настоящий стандарт распространяется на средства измерений силы излучения и эффективности полупроводниковых излучающих диодов, определяемой отношением эффективной бактерицидной, эритемной силы излучения к силе излучения светодиодов в спектральных диапазонах УФ-А и УФ-В, и устанавливает методику их поверки. В качестве средств измерений силы излучения и эффективности полупроводниковых излучающих диодов используются спектрорадиометры и многоканальные радиометры, конструкция которых обеспечивает выполнение условий типа А (телесный угол 0,01 ср) или типа В (телесный угол 0,001 ср), в соответствии с рекомендациями № 127 Международной комиссии по освещению Межповерочный интервал – один год.
Связи и замены
Заменяющий:
-
Описание стандарта
ГОСТ Р 8.843-2013 Государственная система обеспечения единства измерений. Средства измерений силы излучения и эффективности полупроводниковых излучающих диодов. Методика поверки
Страницы стандарта















