ГОСТ 8.030-2013 Государственная система обеспечения единства измерений. Государственная поверочная схема для средств измерений магнитной индукции, магнитного потока, магнитного момента и градиента магнитной индукции
ГОСТ
Скачать ГОСТ в PDF или DOC бесплатно
Основная информация
Обозначение:
ГОСТ 8.030-2013
Статус:
Принят
Тип:
ГОСТ
Название русское:
Государственная система обеспечения единства измерений. Государственная поверочная схема для средств измерений магнитной индукции, магнитного потока, магнитного момента и градиента магнитной индукции
Название английское:
State system for ensuring the uniformity of measurements. State hierarchy scheme for means measuring magnetic flux density, magnetic flux, magnetic moment and gradient of magnetic flux density
Даты и сроки
Дата регистрации:
06-27-13
Дата издания:
02-27-19
Дата введения в действие:
01-01-15
Дата завершения срока действия:
-
Применение и описание
Область и условия применения:
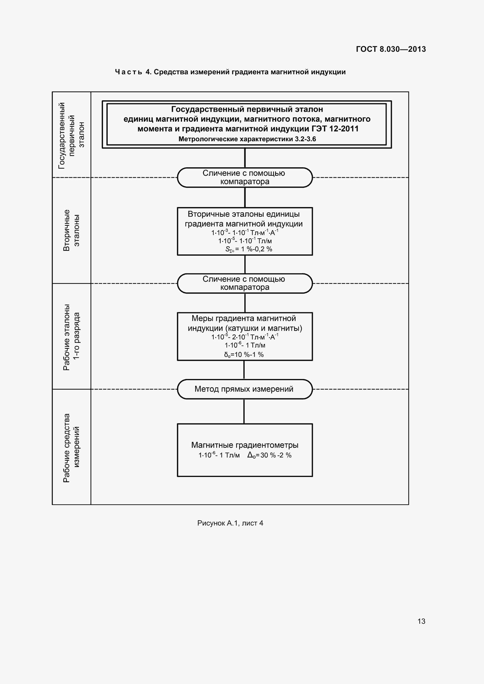
Настоящий стандарт распространяется на средства измерений магнитной индукции, магнитного потока, магнитного момента, градиента магнитной индукции и устанавливает порядок передачи рабочим средствам измерений единиц: тесла (Тл), вебер (Вб), ампер - метр квадратный (А•м2), тесла на метр (Тл/м), отношения этих единиц к силе тока (Тл/A), (Вб/A), (А•м2/А), (Тл•м-1•А-1) и единицы магнитной восприимчивости (ед. СИ) от государственного первичного эталона посредством вторичных эталонов, рабочих разрядных эталонов и средств измерений, заимствованных из других областей измерений, с указанием погрешностей и основных методов поверки
Связи и замены
Заменяющий:
-
Взамен:
ГОСТ 8.030-91
Описание стандарта
ГОСТ 8.030-2013 Государственная система обеспечения единства измерений. Государственная поверочная схема для средств измерений магнитной индукции, магнитного потока, магнитного момента и градиента магнитной индукции
Страницы стандарта





















Приложение №1: Поправка к ГОСТ 8.030-2013 Обозначение: Поправка к ГОСТ 8.030-2013 Дата введения в действие: 29.06.2022
