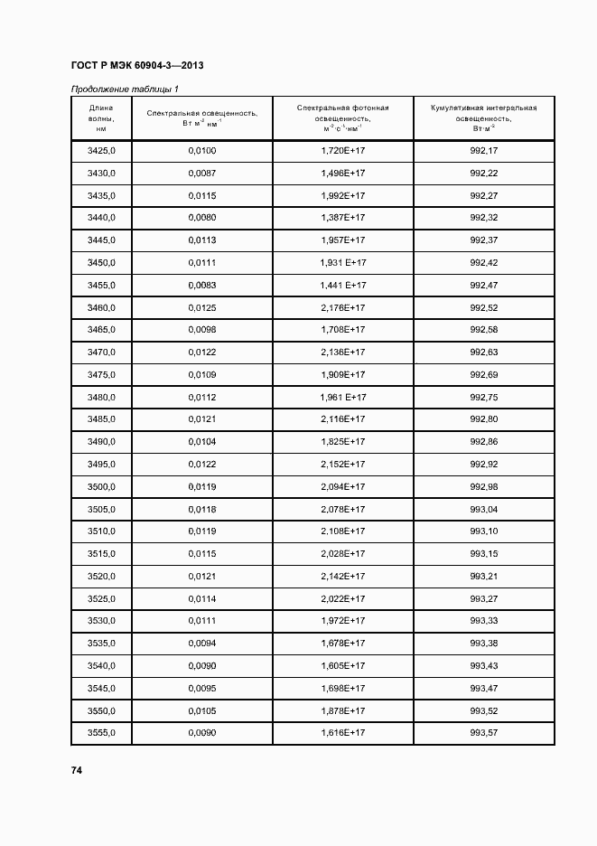
ГОСТ Р МЭК 60904-3-2013 Государственная система обеспечения единства измерений. Приборы фотоэлектрические. Часть 3. Принципы измерения характеристик фотоэлектрических приборов с учетом стандартной спектральной плотности энергетической освещенности наземного солнечного излучения
ГОСТ Р МЭК
Скачать ГОСТ в PDF или DOC бесплатно
Основная информация
Обозначение:
ГОСТ Р МЭК 60904-3-2013
Статус:
Действует
Тип:
ГОСТ Р МЭК
Название русское:
Государственная система обеспечения единства измерений. Приборы фотоэлектрические. Часть 3. Принципы измерения характеристик фотоэлектрических приборов с учетом стандартной спектральной плотности энергетической освещенности наземного солнечного излучения
Название английское:
State system for ensuring the uniformity of measurements. Photovoltaic devices. Part 3. Measurement principles of photovoltaic devices characteristics with terrestrial reference spectral irradiance data
Даты и сроки
Дата издания:
10-02-14
Дата введения в действие:
01-01-15
Дата завершения срока действия:
-
Применение и описание
Область и условия применения:
Настоящий стандарт распространяется на следующие фотоэлектрические приборы наземного применения: -солнечные элементы с или без защитного стекла; -субмодули солнечных элементов; -модули; -системы
Связи и замены
Заменяющий:
-
Изменения и переиздания
Список изменений:
№0 от (рег. ) «Дата введения перенесена»
Описание стандарта
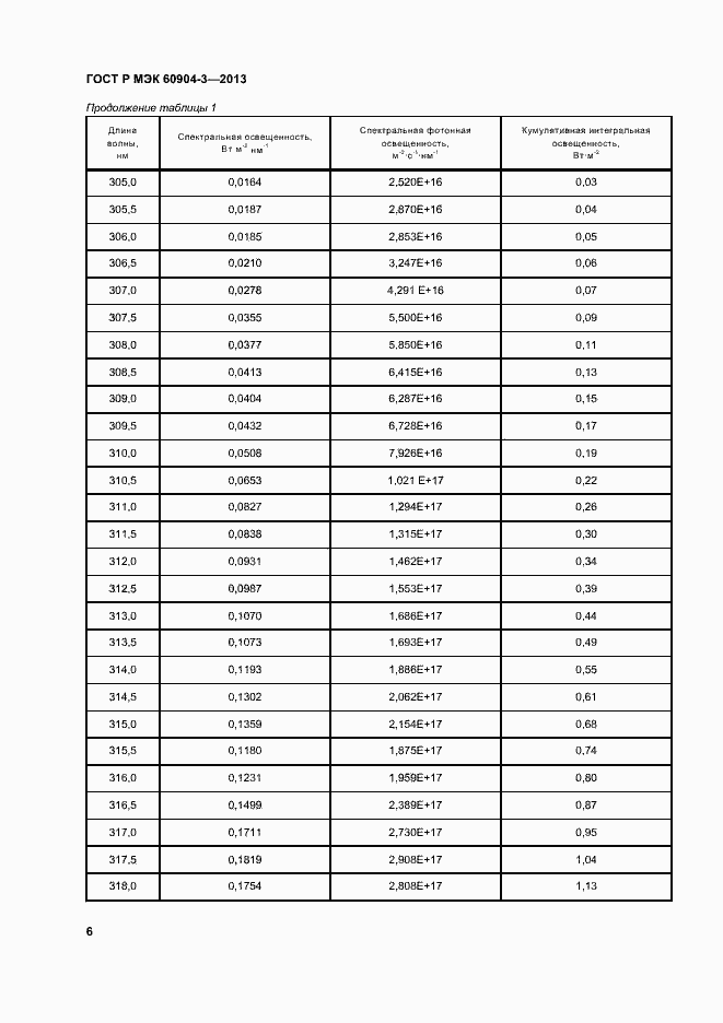
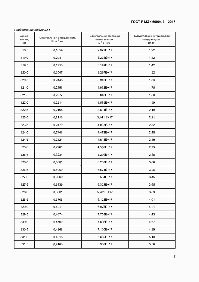
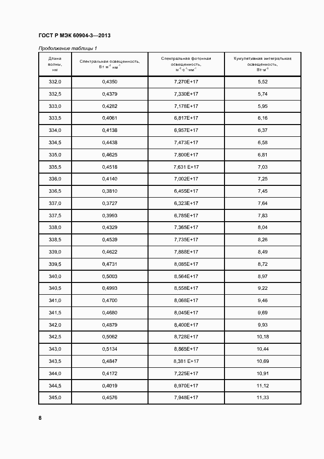
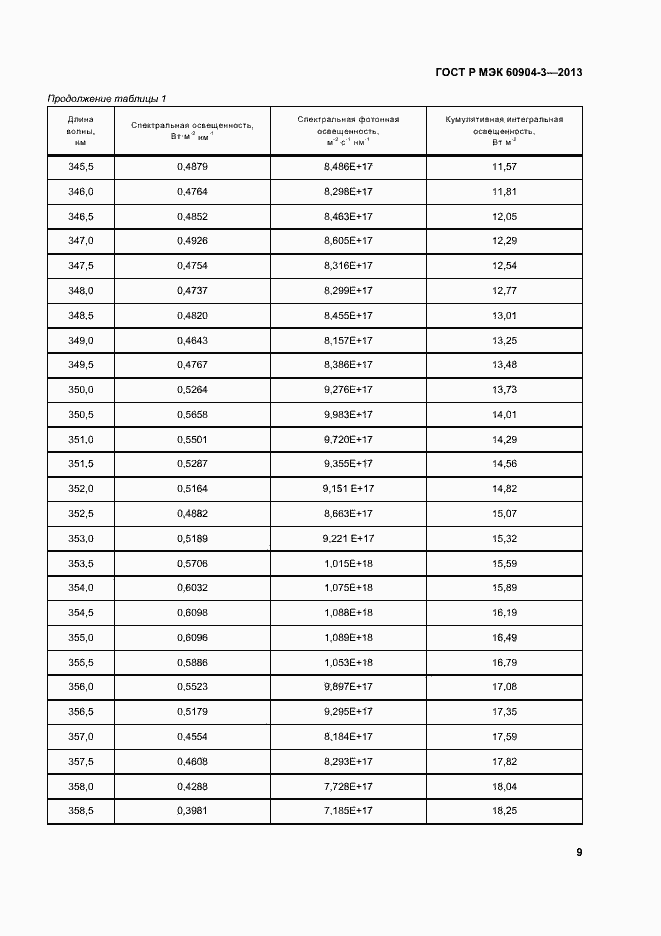
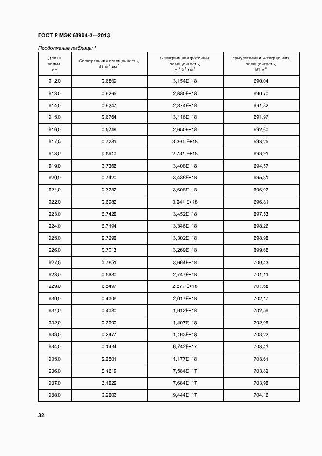
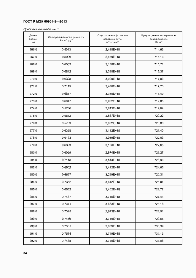
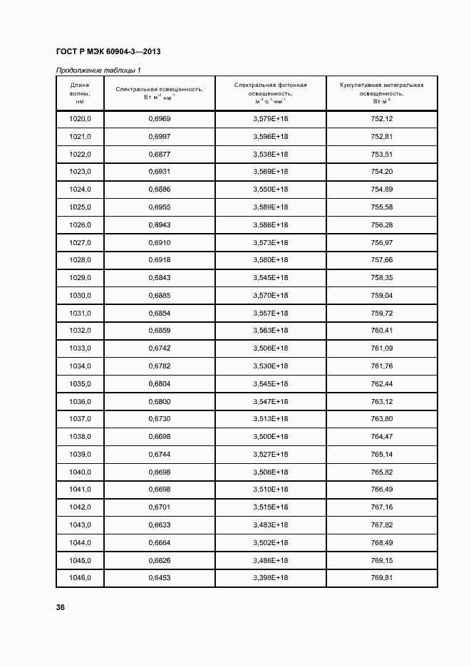
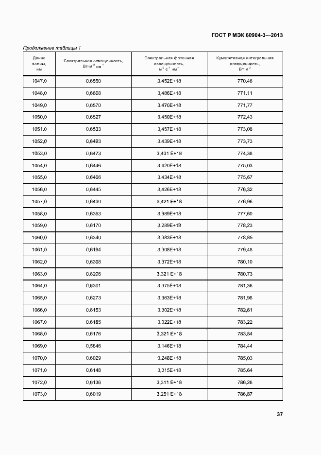
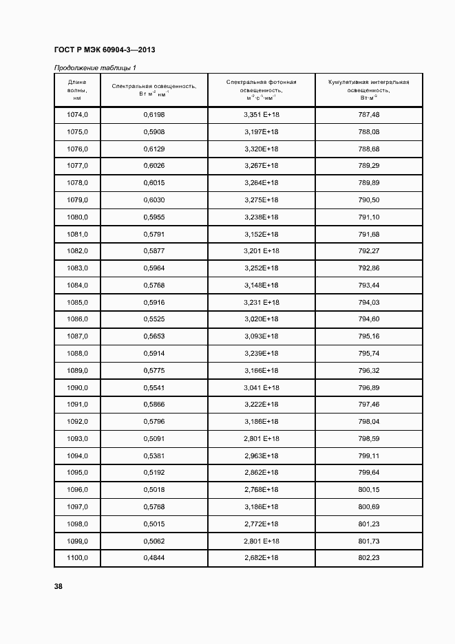
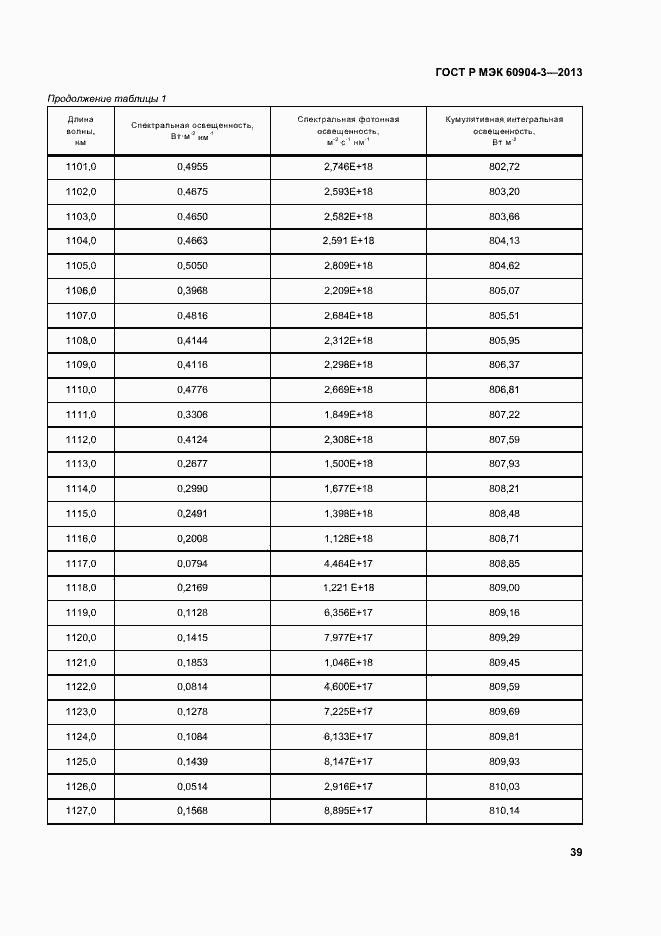
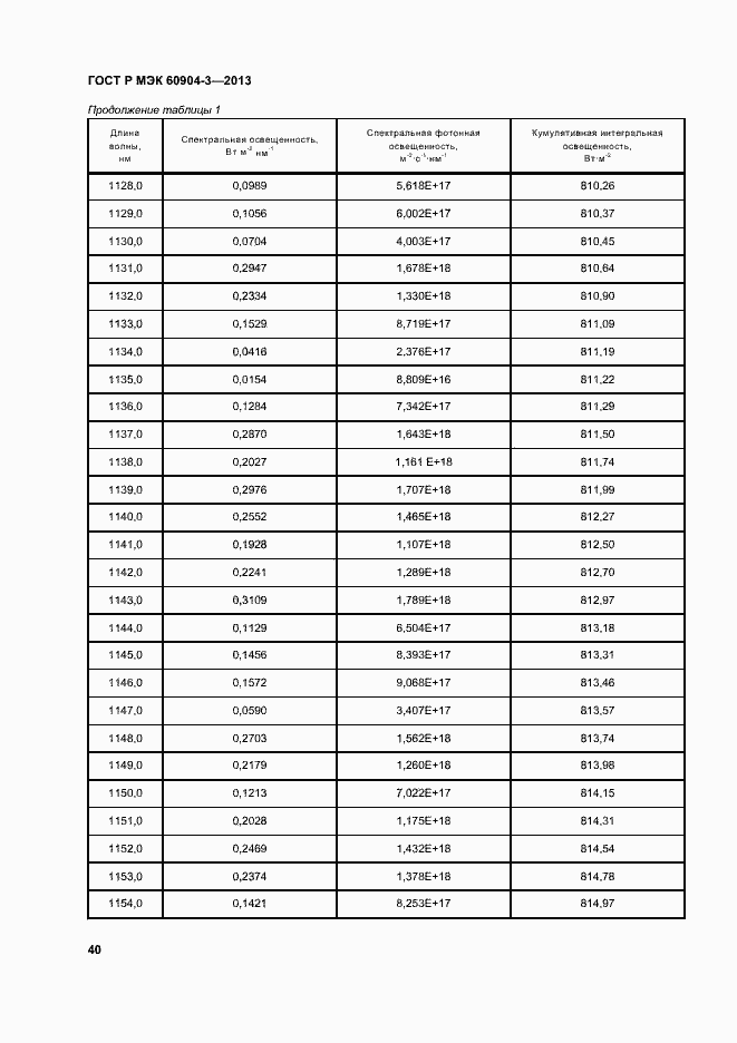
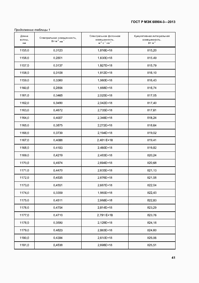
ГОСТ Р МЭК 60904-3-2013 Государственная система обеспечения единства измерений. Приборы фотоэлектрические. Часть 3. Принципы измерения характеристик фотоэлектрических приборов с учетом стандартной спектральной плотности энергетической освещенности наземного солнечного излучения
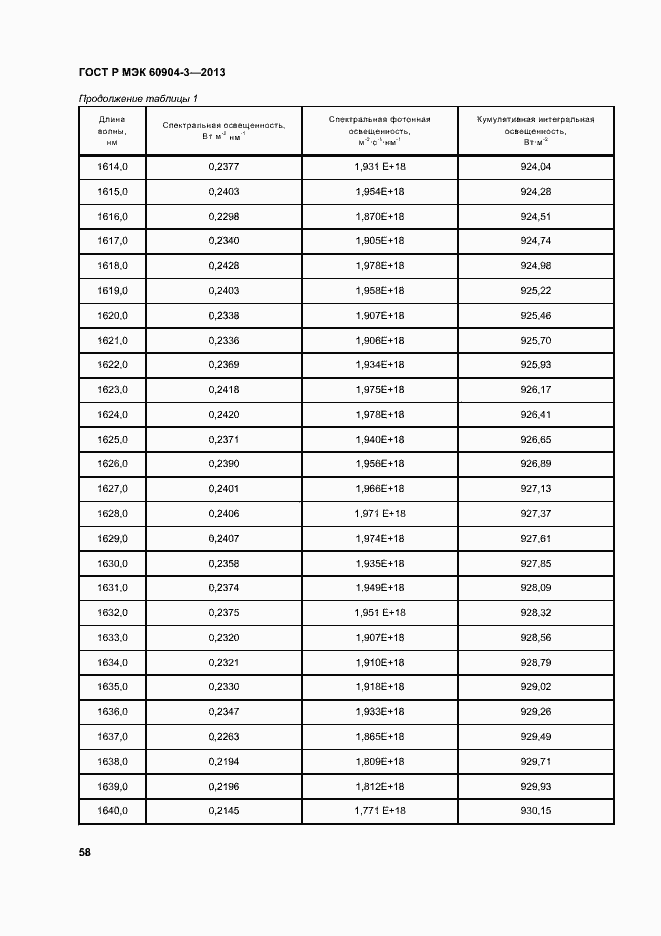
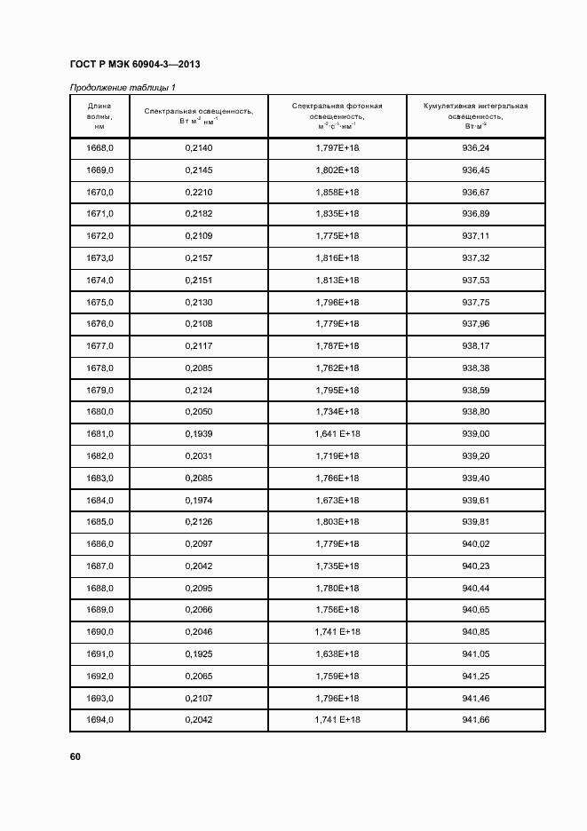
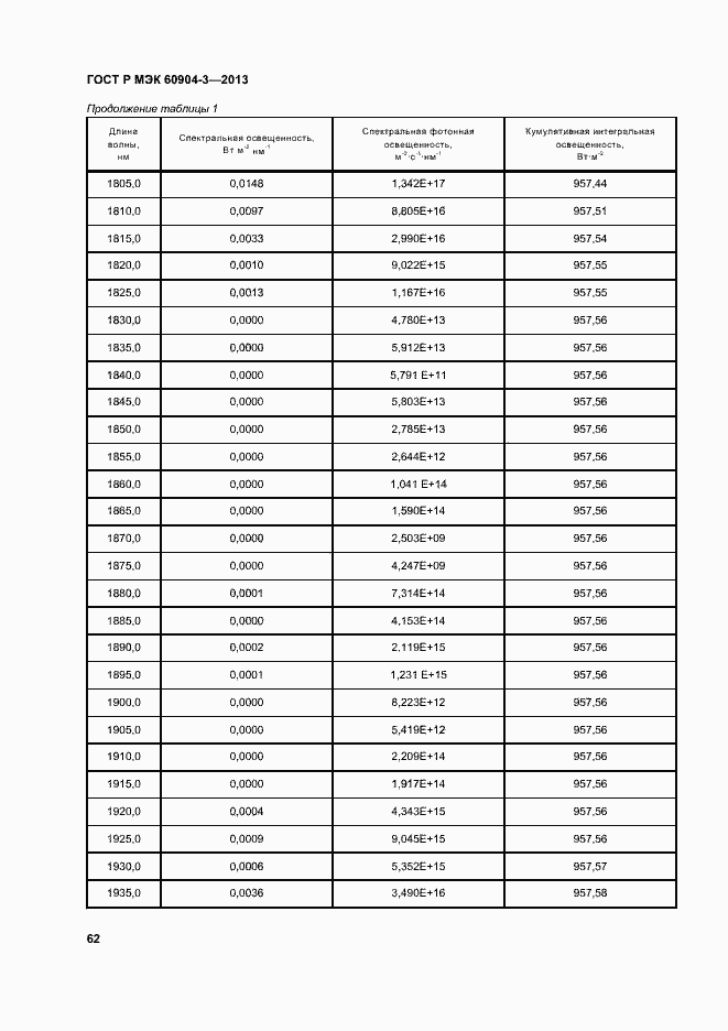
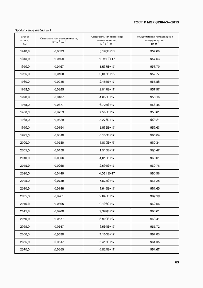
Страницы стандарта
























































































Приложение №1: Поправка к ГОСТ Р МЭК 60904-3-2013 Обозначение: Поправка к ГОСТ Р МЭК 60904-3-2013 Дата введения в действие: 06.06.2015
