ГОСТ Р 8.665-2009 Государственная система обеспечения единства измерений. Люксметры и яркомеры фотоэлектрические. Методика поверки
ГОСТ Р
Скачать ГОСТ в PDF или DOC бесплатно
Основная информация
Обозначение:
ГОСТ Р 8.665-2009
Статус:
Действует
Тип:
ГОСТ Р
Название русское:
Государственная система обеспечения единства измерений. Люксметры и яркомеры фотоэлектрические. Методика поверки
Название английское:
State system for ensuring the uniformity of measurements. Photo-electric luхmeter and brightness meter. Methods of verificаtion
Даты и сроки
Дата издания:
03-12-19
Дата введения в действие:
01-01-11
Дата завершения срока действия:
-
Применение и описание
Область и условия применения:
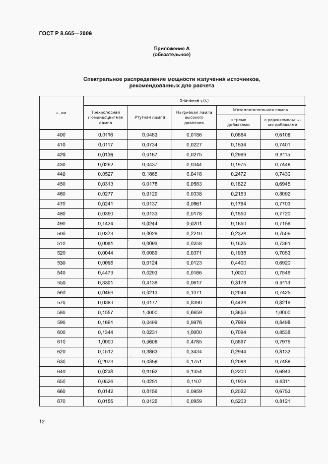
Настоящий стандарт распространяется на средства измерений освещенности и яркости - люксметры, яркомеры, фотометрические головки и устанавливает методику их поверки
Связи и замены
Заменяющий:
-
Описание стандарта
ГОСТ Р 8.665-2009 Государственная система обеспечения единства измерений. Люксметры и яркомеры фотоэлектрические. Методика поверки
Страницы стандарта


















