ГОСТ Р ИСО 6507-4-2009 Государственная система обеспечения единства измерений. Металлы и сплавы. Измерения твердости по Виккерсу. Часть 4. Таблицы определения твердости
ГОСТ Р ИСО
Скачать ГОСТ в PDF или DOC бесплатно
Основная информация
Обозначение:
ГОСТ Р ИСО 6507-4-2009
Статус:
Действует
Тип:
ГОСТ Р ИСО
Название русское:
Государственная система обеспечения единства измерений. Металлы и сплавы. Измерения твердости по Виккерсу. Часть 4. Таблицы определения твердости
Название английское:
State system for ensuring the uniformity of measurements. Metals and alloys. Vickers hardness test. Part 4. Tables of hardness values
Даты и сроки
Дата издания:
08-16-10
Дата введения в действие:
01-01-11
Дата завершения срока действия:
-
Применение и описание
Область и условия применения:
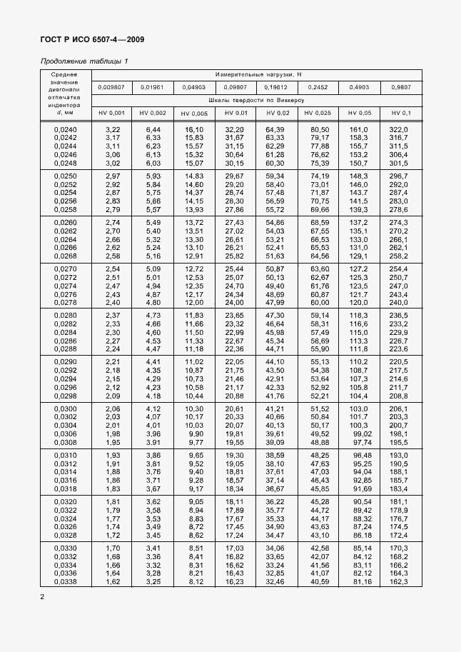
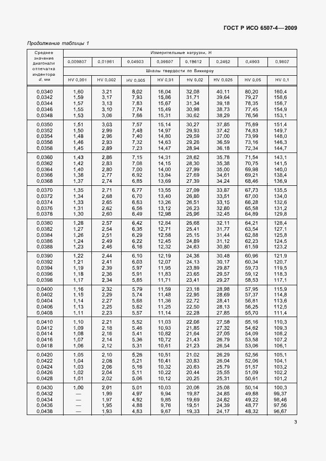
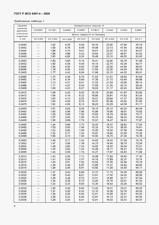
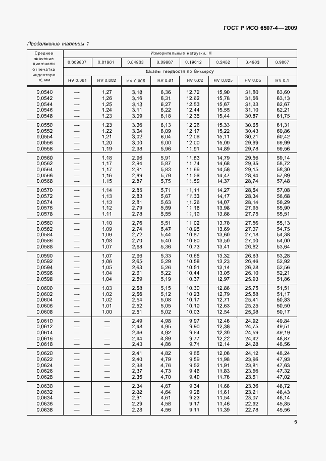
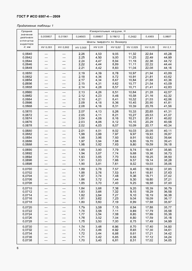
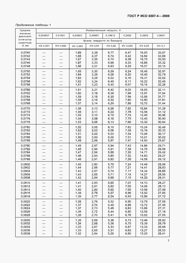
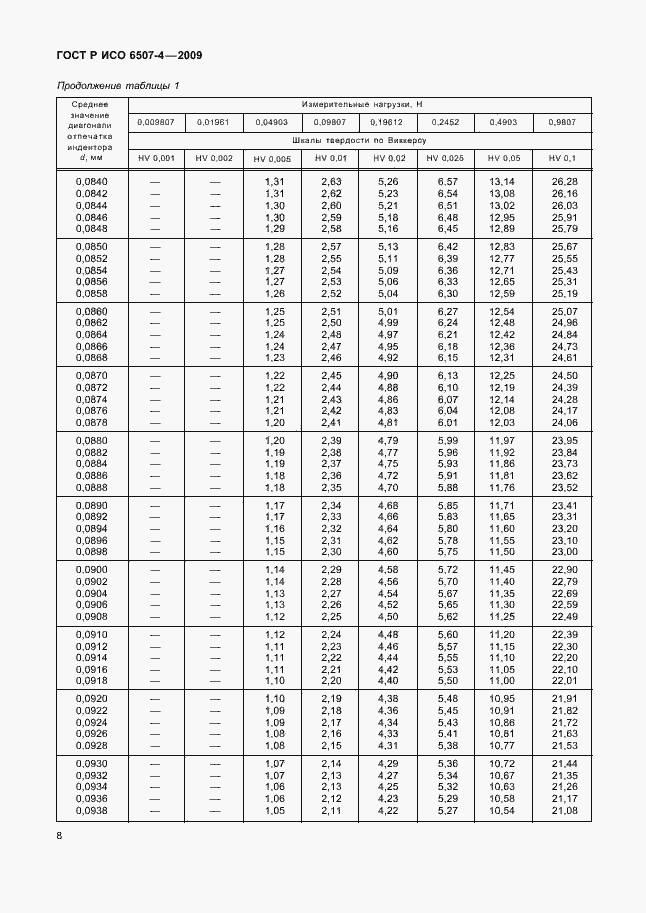
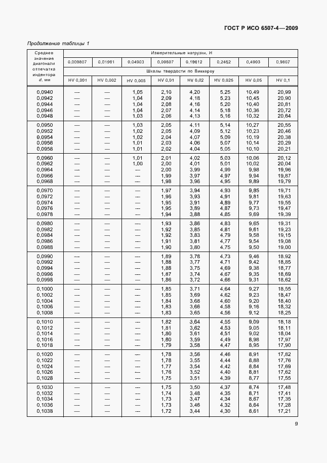
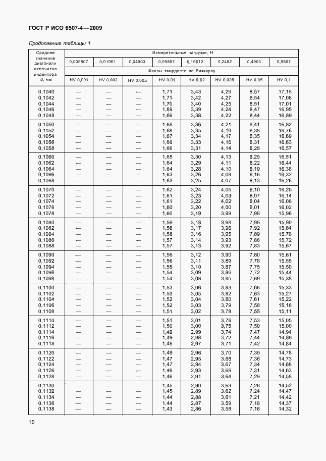
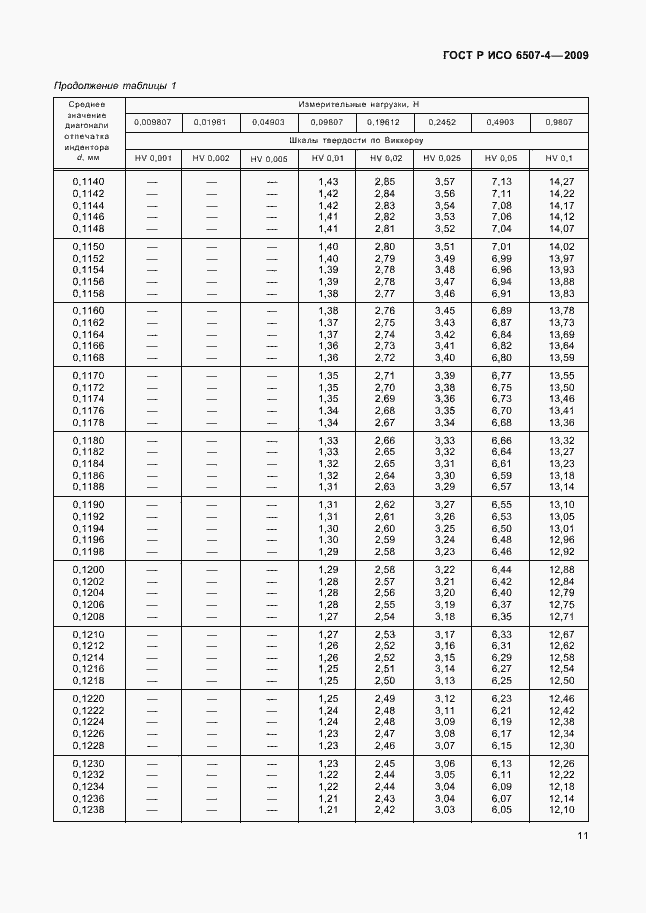
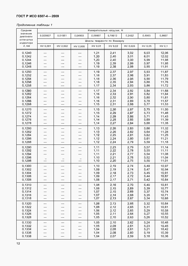
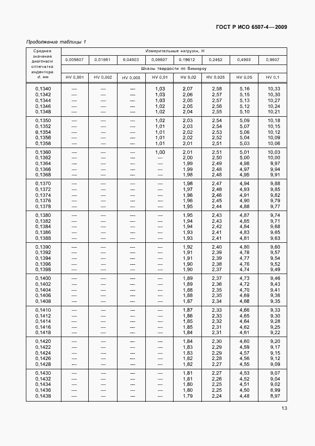
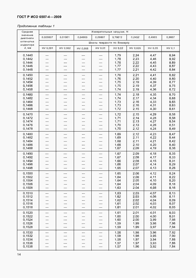
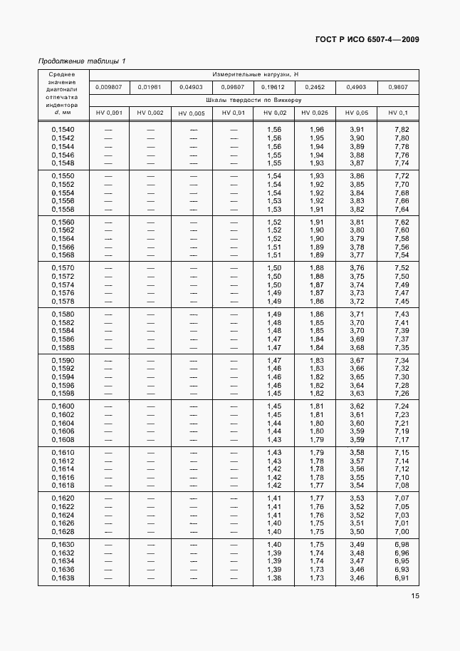
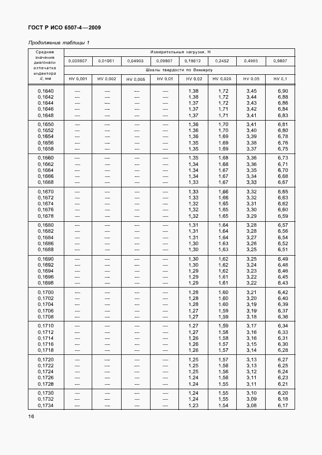
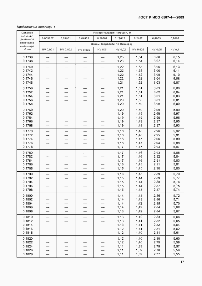
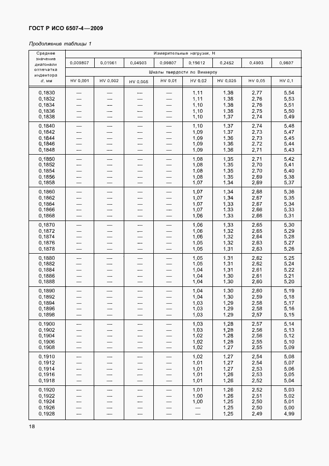
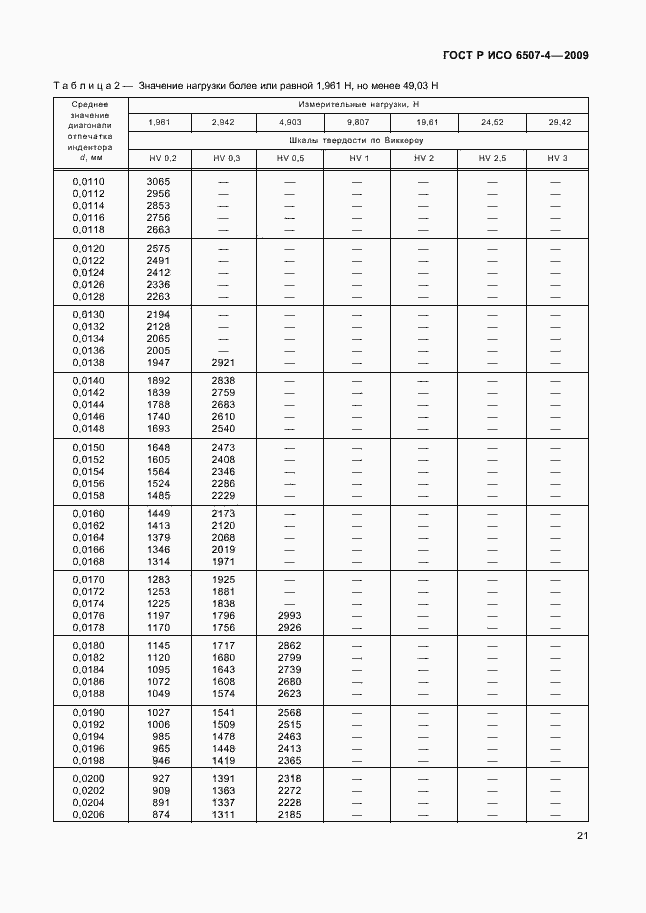
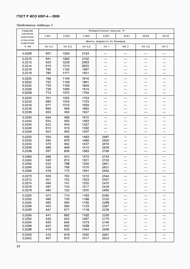
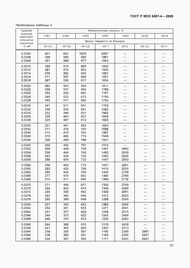
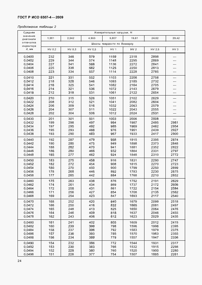
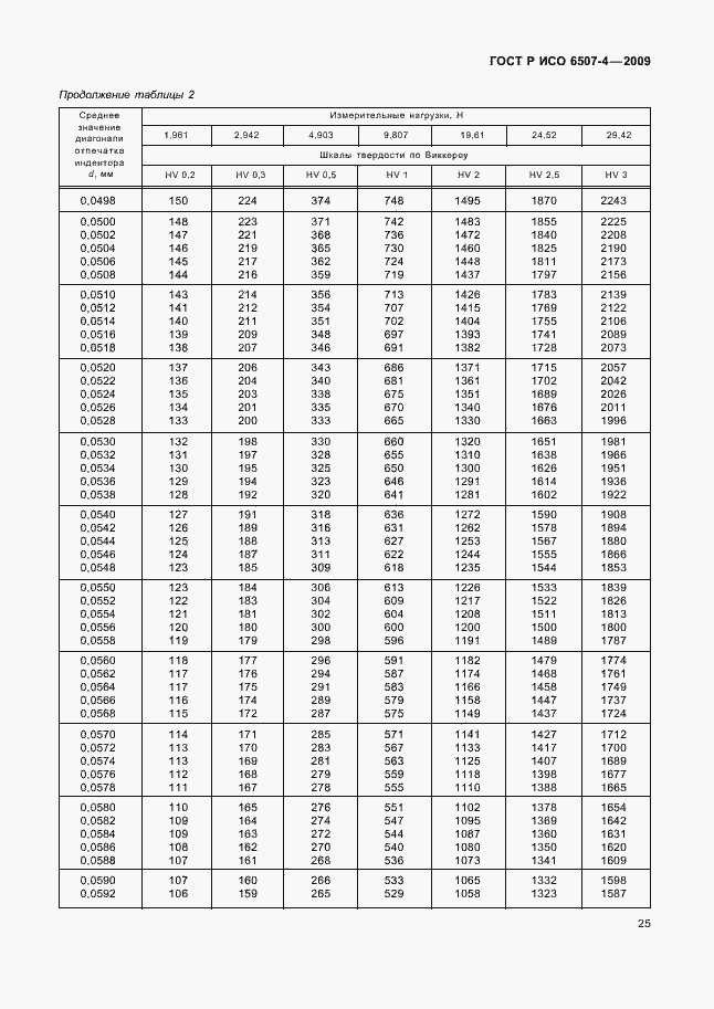
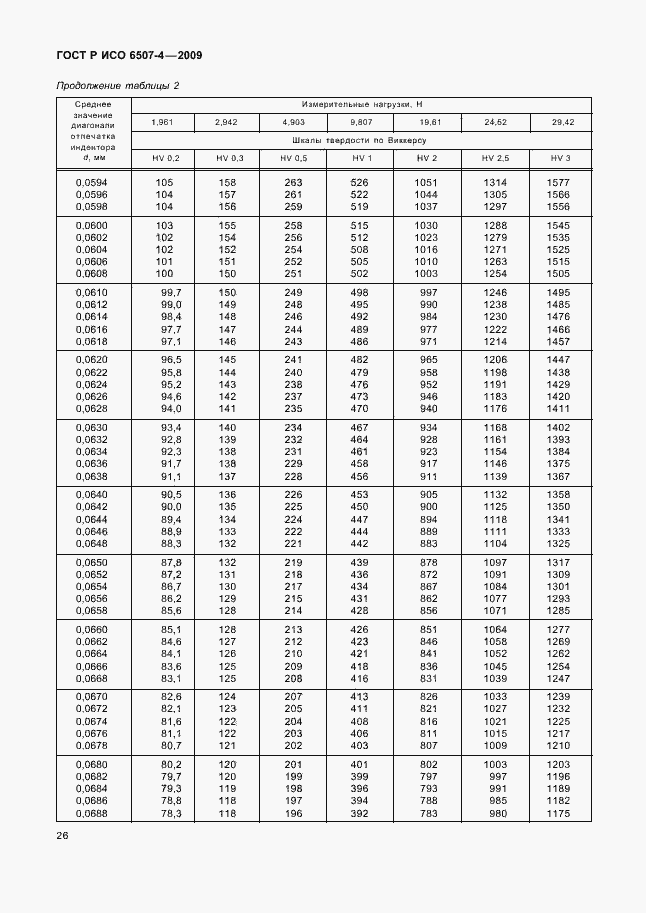
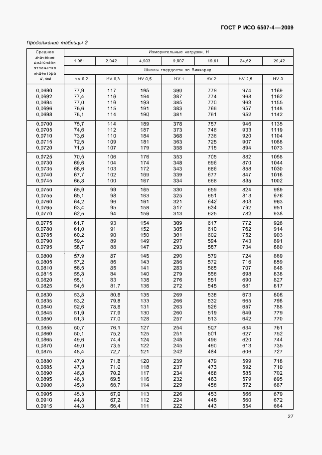
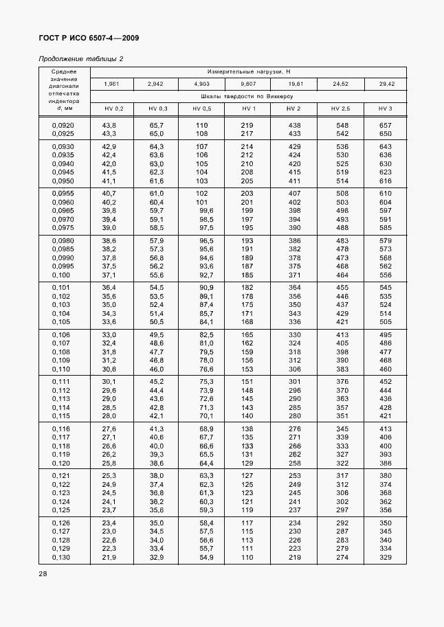
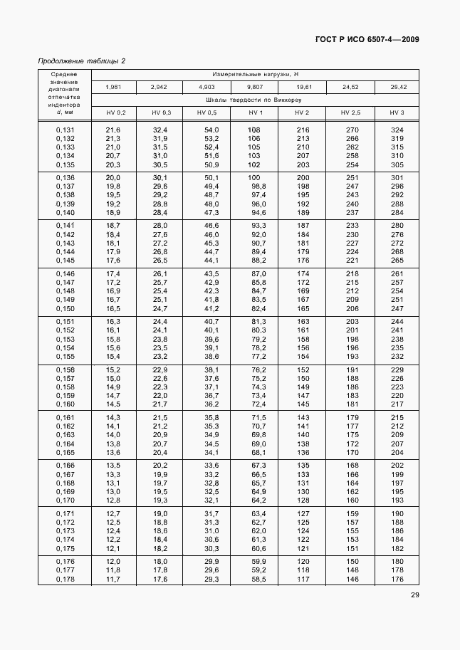
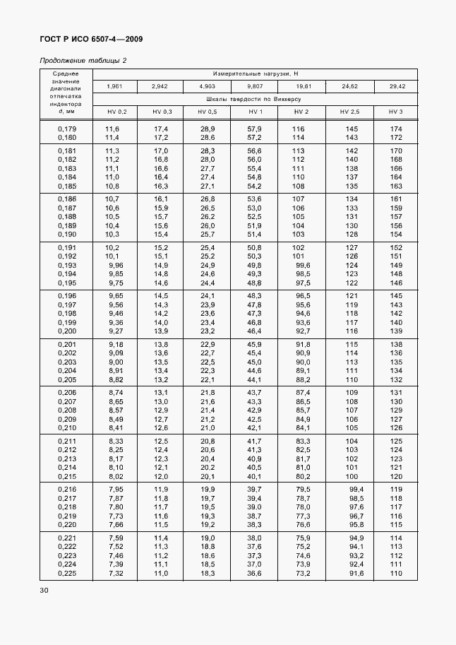
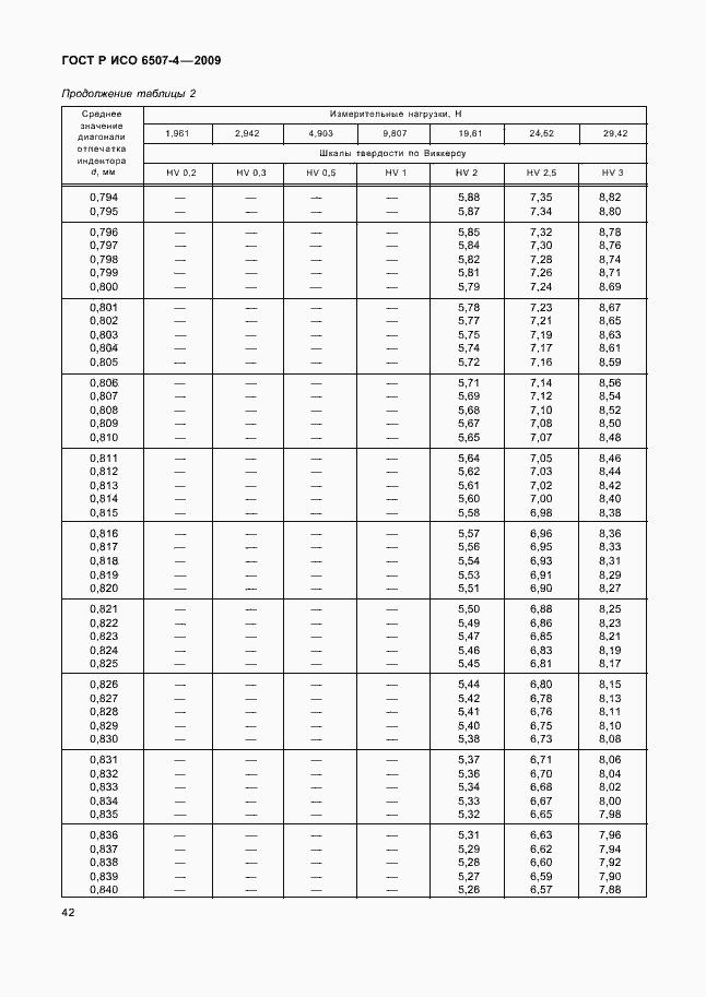
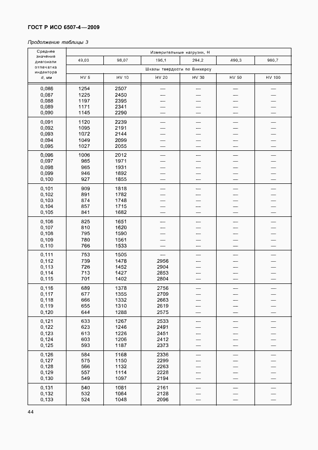
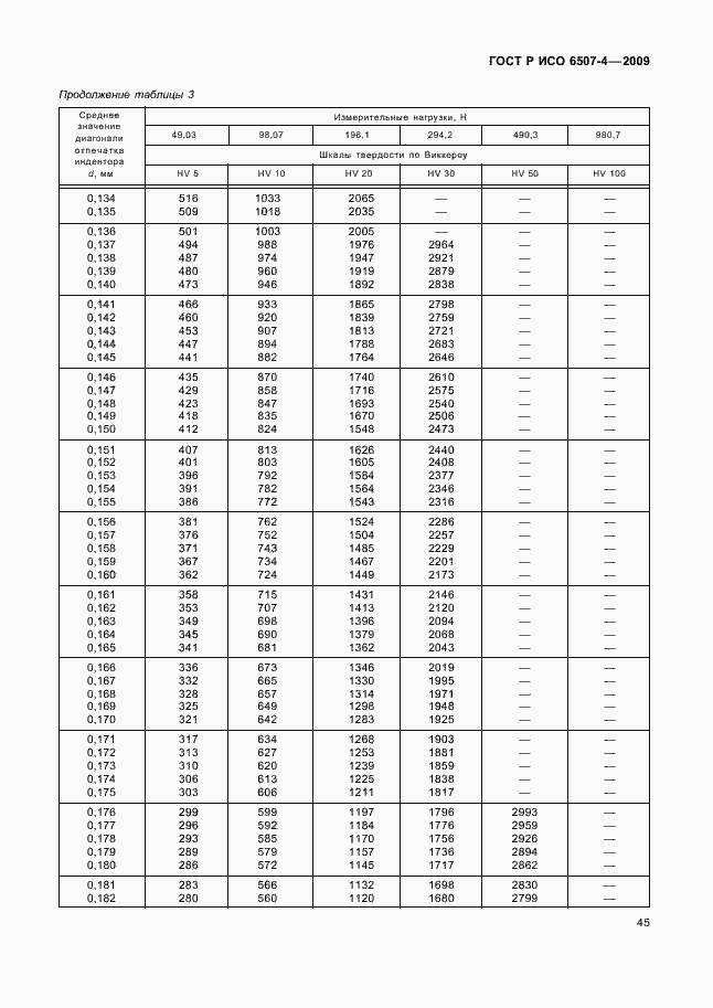
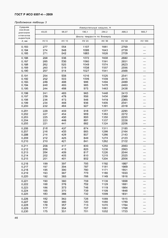
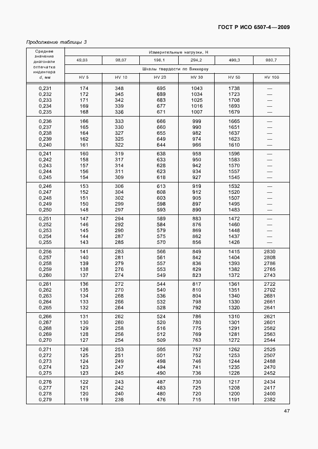
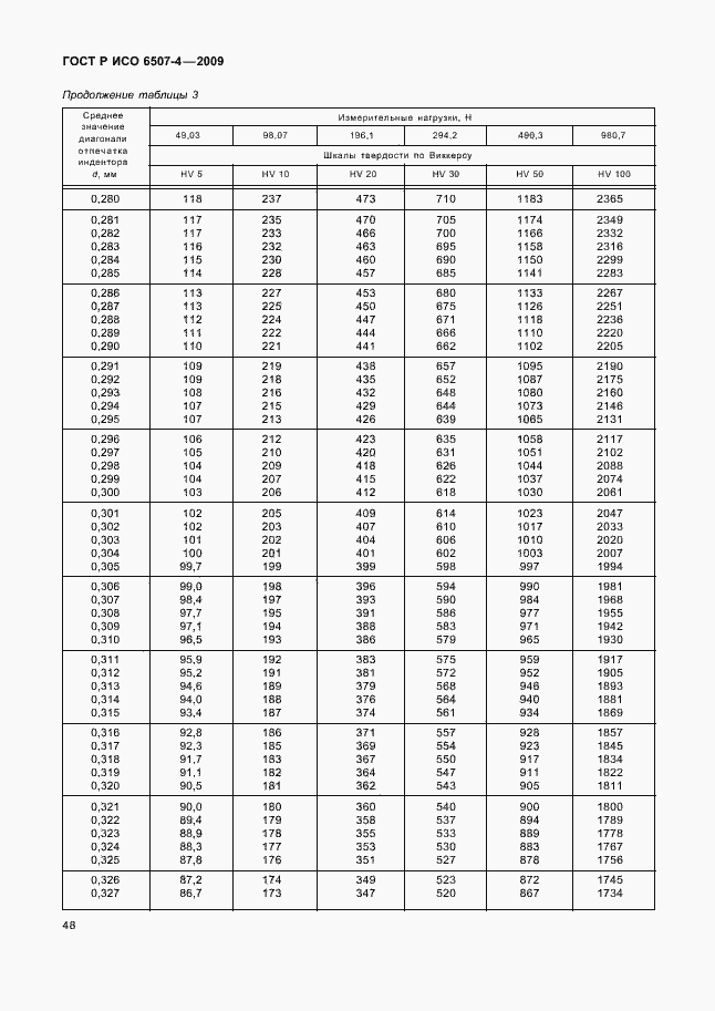
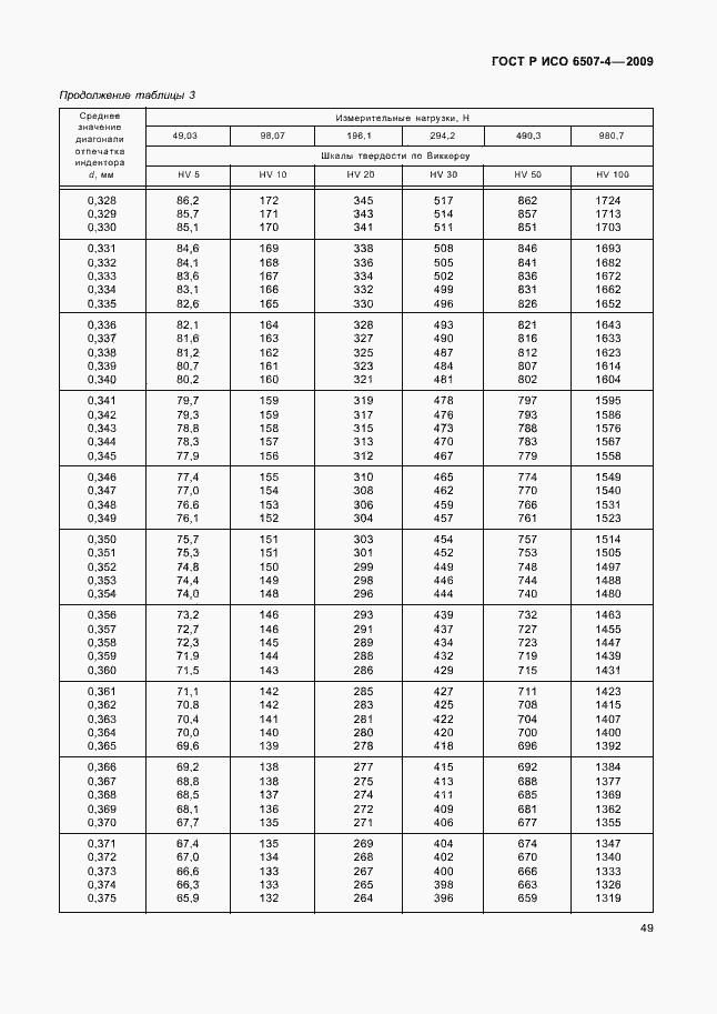
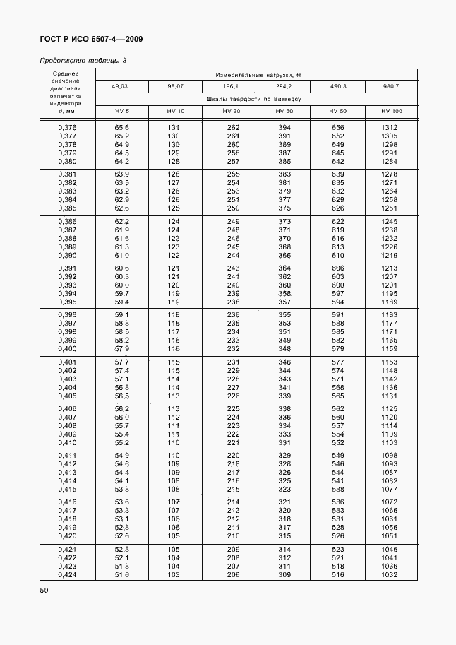
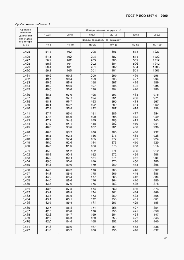
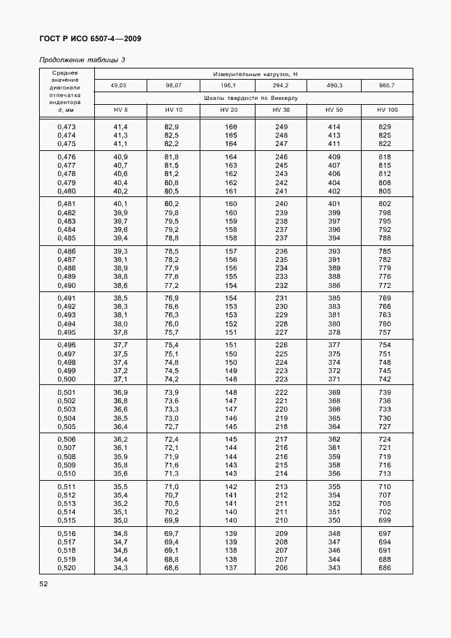
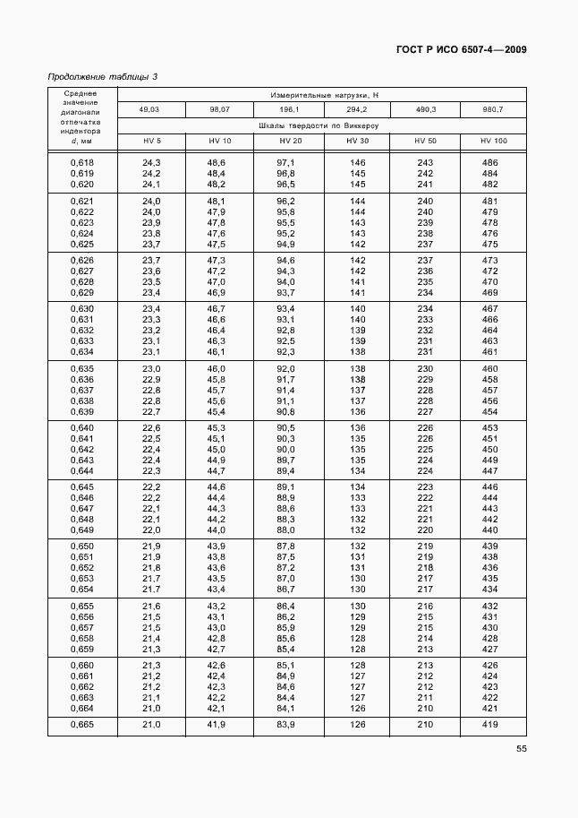
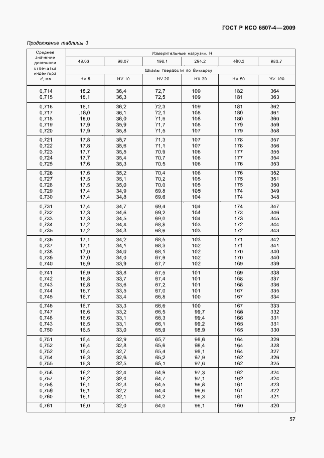
Настоящий стандарт распространяется на таблицы для определения значений чисел твердости по шкалам Виккерса при выполнении измерений на плоских поверхностях по среднему длин диагоналей отпечатка
Связи и замены
Заменяющий:
-
Описание стандарта
ГОСТ Р ИСО 6507-4-2009 Государственная система обеспечения единства измерений. Металлы и сплавы. Измерения твердости по Виккерсу. Часть 4. Таблицы определения твердости
Страницы стандарта

























































































