ГОСТ Р 8.939-2017 Государственная система обеспечения единства измерений. Национальный стандарт. Стандартные справочные данные. Оптические прозрачные материалы CaLa2S4 - La2S3. Теплопроводность в диапазоне температуры от 80 до 400 К
ГОСТ Р
Скачать ГОСТ в PDF или DOC бесплатно
Основная информация
Обозначение:
ГОСТ Р 8.939-2017
Статус:
Действует
Тип:
ГОСТ Р
Название русское:
Государственная система обеспечения единства измерений. Национальный стандарт. Стандартные справочные данные. Оптические прозрачные материалы CaLa2S4 - La2S3. Теплопроводность в диапазоне температуры от 80 до 400 К
Название английское:
State system for ensuring the uniformity of measurements. National standard. Standard reference data. Optically transparent materials based on CaLa2S4 – La2S3. Thermal conductivity in the temperature range from 80 K to 400 K
Даты и сроки
Дата издания:
07-15-19
Дата введения в действие:
03-01-18
Дата завершения срока действия:
-
Применение и описание
Область и условия применения:
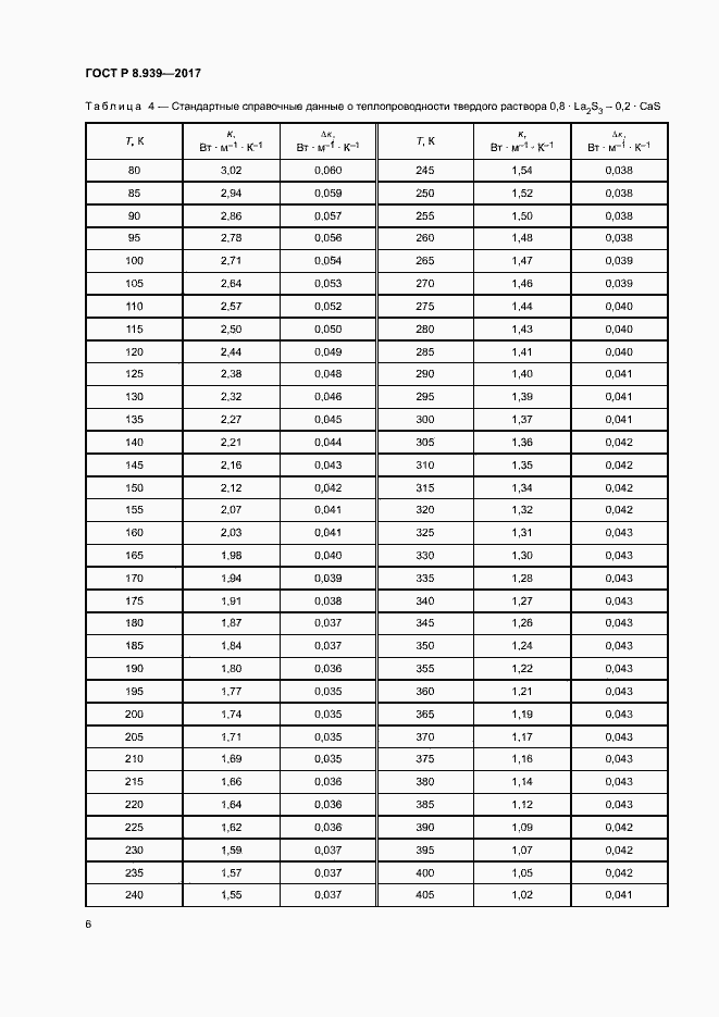
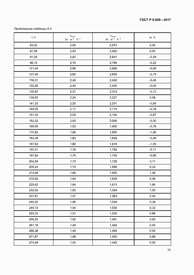
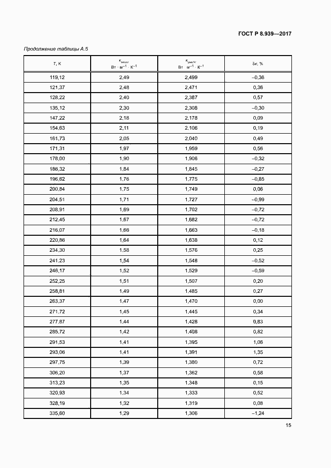
Настоящий стандарт распространяется на стандартные справочные данные (ССД) о коэффициенте теплопроводности оптически прозрачных материалов на основе твердых растворов CaLa2S4 – La2S3 в диапазоне температур от 80 К до 400 К, измерения которого выполнены абсолютным стационарным методом, основанном на создании линейного теплового потока через исследуемый образец
Связи и замены
Заменяющий:
-
Описание стандарта
ГОСТ Р 8.939-2017 Государственная система обеспечения единства измерений. Национальный стандарт. Стандартные справочные данные. Оптические прозрачные материалы CaLa2S4 - La2S3. Теплопроводность в диапазоне температуры от 80 до 400 К
Страницы стандарта





















