ГОСТ Р 8.941-2017 Государственная система обеспечения единства измерений. Национальный стандарт. Стандартные справочные данные. Материалы для эталонных мер температурного коэффициента линейного расширения. Графит марки ГИП-4. Температурный коэффициент линейного расширения в диапазоне температуры от 20°С до 2500°С
ГОСТ Р
Скачать ГОСТ в PDF или DOC бесплатно
Основная информация
Обозначение:
ГОСТ Р 8.941-2017
Статус:
Действует
Тип:
ГОСТ Р
Название русское:
Государственная система обеспечения единства измерений. Национальный стандарт. Стандартные справочные данные. Материалы для эталонных мер температурного коэффициента линейного расширения. Графит марки ГИП-4. Температурный коэффициент линейного расширения в диапазоне температуры от 20°С до 2500°С
Название английское:
State system for ensuring the uniformity of measurements. National standard. Standard reference data. Materials for standard LTEC. Graphite GIP-4. Linear temperature expansion coefficient for the temperature range from 20°C to 2500°C
Даты и сроки
Дата издания:
06-10-19
Дата введения в действие:
03-01-18
Дата завершения срока действия:
-
Применение и описание
Область и условия применения:
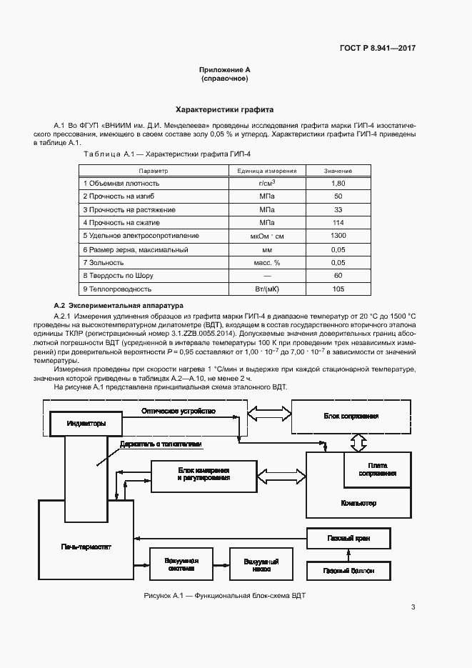
Настоящий стандарт распространяется на стандартные справочные данные (ССД) о температурных коэффициентах линейного расширения (ТКЛР) графита марки ГИП-4 в диапазоне температур от 20 °С до 2500°С
Связи и замены
Заменяющий:
-
Описание стандарта
ГОСТ Р 8.941-2017 Государственная система обеспечения единства измерений. Национальный стандарт. Стандартные справочные данные. Материалы для эталонных мер температурного коэффициента линейного расширения. Графит марки ГИП-4. Температурный коэффициент линейного расширения в диапазоне температуры от 20°С до 2500°С
Страницы стандарта














