ГОСТ Р ИСО 5725-2-2002 Точность (правильность и прецизионность) методов и результатов измерений. Часть 2. Основной метод определения повторяемости и воспроизводимости стандартного метода измерений
ГОСТ Р ИСО
Скачать ГОСТ в PDF или DOC бесплатно
Основная информация
Обозначение:
ГОСТ Р ИСО 5725-2-2002
Статус:
Действует
Тип:
ГОСТ Р ИСО
Название русское:
Точность (правильность и прецизионность) методов и результатов измерений. Часть 2. Основной метод определения повторяемости и воспроизводимости стандартного метода измерений
Название английское:
Accuracy (trueness and precision) of measurement methods and results. Part 2. Basic method for the determination of repeatability and reproducibility of a standard measurement method
Даты и сроки
Дата издания:
03-01-09
Дата введения в действие:
11-01-02
Дата завершения срока действия:
-
Применение и описание
Область и условия применения:
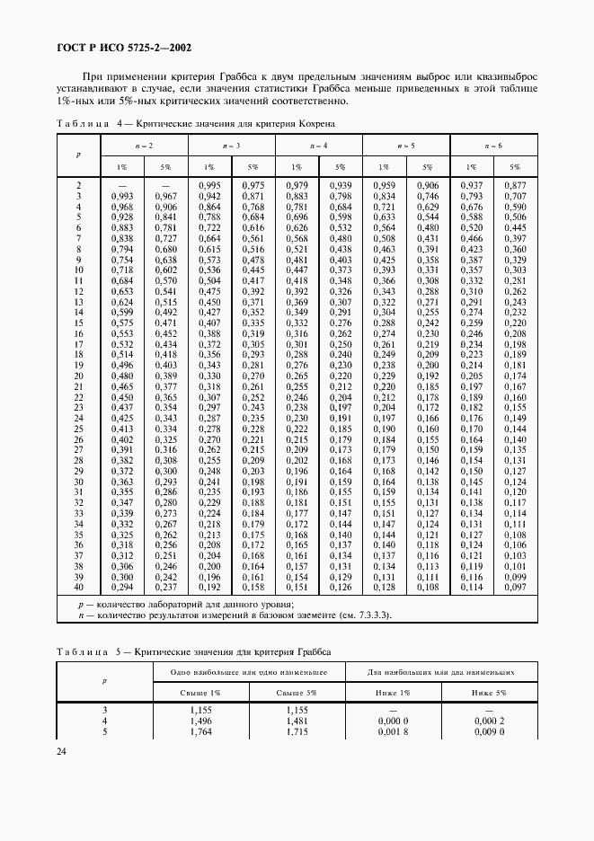
Настоящий стандарт:- описывает общие принципы планирования совместных межлабораторных экспериментов, предназначенных для количественной оценки прецизионности методов измерений;- детально описывает основной алгоритм количественной оценки прецизионности методов измерений в повседневной практике;- является руководством для персонала, имеющего отношение к планированию эксперимента, осуществлению и анализу результатов измерений по оценке прецизионности. Настоящий стандарт распространяется на методы измерений непрерывных (в смысле принимаемых значений в измеряемом диапазоне) величин, дающие в качестве результата измерений единственное значение. При этом единственное значение может быть и результатом расчета, основанного на ряде измерений одной и той же величины
Связи и замены
Заменяющий:
-
Описание стандарта
ГОСТ Р ИСО 5725-2-2002 Точность (правильность и прецизионность) методов и результатов измерений. Часть 2. Основной метод определения повторяемости и воспроизводимости стандартного метода измерений
Страницы стандарта


















































