ГОСТ Р ИСО 5725-4-2002 Точность (правильность и прецизионность) методов и результатов измерений. Часть 4. Основные методы определения правильности стандартного метода измерений
ГОСТ Р ИСО
Скачать ГОСТ в PDF или DOC бесплатно
Основная информация
Обозначение:
ГОСТ Р ИСО 5725-4-2002
Статус:
Действует
Тип:
ГОСТ Р ИСО
Название русское:
Точность (правильность и прецизионность) методов и результатов измерений. Часть 4. Основные методы определения правильности стандартного метода измерений
Название английское:
Accuracy (trueness and precision) of measurement methods and results. Part 4. Basic methods for the determination of the trueness of a standard measurement method
Даты и сроки
Дата издания:
03-01-09
Дата введения в действие:
11-01-02
Дата завершения срока действия:
-
Применение и описание
Область и условия применения:
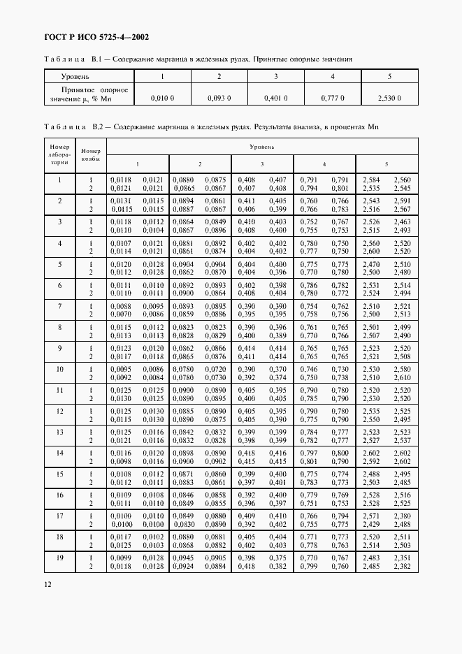
Настоящий стандарт описывает основные способы оценки систематической погрешности метода измерений и систематической погрешности результатов измерений в лаборатории при его реализации. Настоящий стандарт относится исключительно к методам измерений непрерывных (в смысле принимаемых значений в измеряемом диапазоне) величин, дающим в качестве результата измерений единственное значение. При этом это единственное значение может быть и результатом расчета, основанного на ряде измерений одной и той же величины
Связи и замены
Заменяющий:
-
Описание стандарта
ГОСТ Р ИСО 5725-4-2002 Точность (правильность и прецизионность) методов и результатов измерений. Часть 4. Основные методы определения правильности стандартного метода измерений
Страницы стандарта































