ГОСТ Р МЭК 61094-2-2001 Государственная система обеспечения единства измерений. Микрофоны измерительные. Первичный метод градуировки по давлению лабораторных эталонных микрофонов методом взаимности
ГОСТ Р МЭК
Скачать ГОСТ в PDF или DOC бесплатно
Основная информация
Обозначение:
ГОСТ Р МЭК 61094-2-2001
Статус:
Заменен
Тип:
ГОСТ Р МЭК
Название русское:
Государственная система обеспечения единства измерений. Микрофоны измерительные. Первичный метод градуировки по давлению лабораторных эталонных микрофонов методом взаимности
Название английское:
State system for ensuring the uniformity of measurements. Measurement microphones. Primary method for pressure calibration of laboratory standard microphones by the reciprocity technique
Даты и сроки
Дата издания:
10-17-01
Дата введения в действие:
07-01-02
Дата завершения срока действия:
05-01-13
Применение и описание
Область и условия применения:
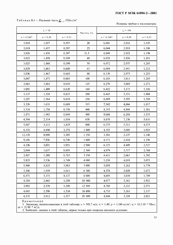
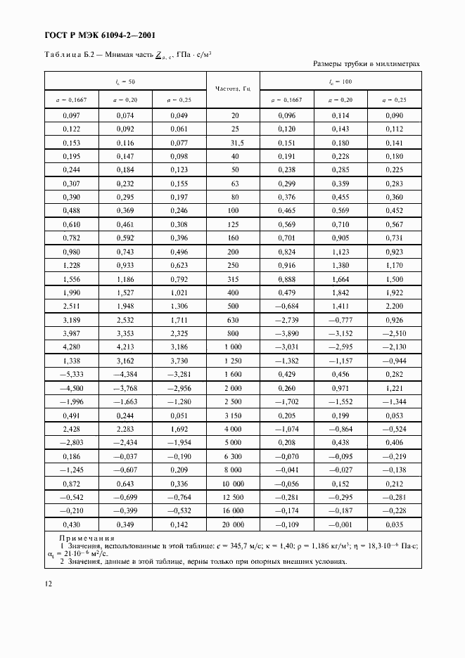
Настоящий стандарт:- распространяется на лабораторные эталонные микрофоны, удовлетворяющие требованиям МЭК 61094-1, и на другие конденсаторные микрофоны, имеющие такие же размеры;- устанавливает первичный метод определения чувствительности микрофонов по давлению, позволяющий получить воспроизводимость и необходимую точность при измерении звукового давления
Связи и замены
Заменяющий:
ГОСТ Р МЭК 61094-2-2011
Описание стандарта
ГОСТ Р МЭК 61094-2-2001 Государственная система обеспечения единства измерений. Микрофоны измерительные. Первичный метод градуировки по давлению лабораторных эталонных микрофонов методом взаимности
Страницы стандарта






















