ГОСТ Р 8.599-2003 Государственная система обеспечения единства измерений. Плотность и объем нефти. Таблицы коэффициентов пересчета плотности и массы
ГОСТ Р
Скачать ГОСТ в PDF или DOC бесплатно
Основная информация
Обозначение:
ГОСТ Р 8.599-2003
Статус:
Отменен
Тип:
ГОСТ Р
Название русское:
Государственная система обеспечения единства измерений. Плотность и объем нефти. Таблицы коэффициентов пересчета плотности и массы
Название английское:
State system for ensuring the uniformity of measurements. Density and volume of oil. The tables of factots for recalculation of density and mass
Даты и сроки
Дата издания:
08-18-03
Дата введения в действие:
11-01-03
Дата завершения срока действия:
01-01-12
Применение и описание
Область и условия применения:
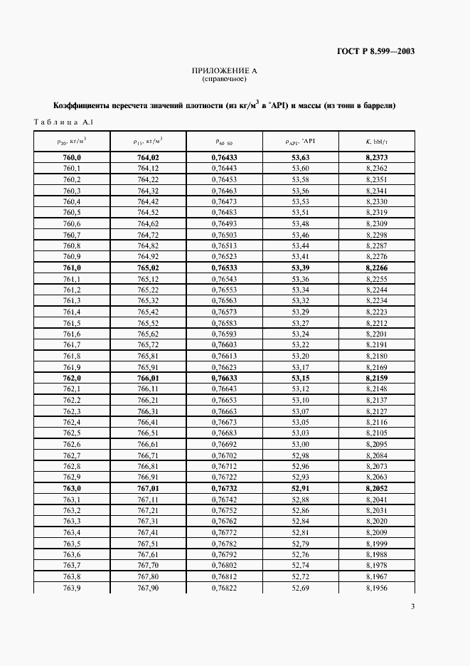
Настоящий стандарт устанавливает коэффициенты пересчета плотности и массы, предназначенные для использования в расчетах при проведении товарно-коммерческих операций с нефтью, подготовленной к транспортированию по магистральным нефтепроводам, наливным транспортом для переработки и/или поставки на экспорт. Коэффициенты пересчета позволяют по значению плотности нефти при температуре 20 град. С определить значения плотности нефти при температуре 15 град. С, относительной плотности нефти при температуре 60 град. F, плотности нефти в градусах Американского нефтяного института (град. АPI) и коэффициентов пересчета из единиц массы в единицы объема (баррель/тонна). С помощью таблиц осуществляется пересчет значений плотности нефти из одних единиц в другие, а также пересчет массы нефти в тоннах в объем нефти в баррелях
Связи и замены
Заменяющий:
-
Изменения и переиздания
Список изменений:
№0 от (рег. ) «Текстовое изменение; Изменено заглавие»
Описание стандарта
ГОСТ Р 8.599-2003 Государственная система обеспечения единства измерений. Плотность и объем нефти. Таблицы коэффициентов пересчета плотности и массы
Страницы стандарта












































