ГОСТ Р 8.992-2020 Государственная система обеспечения единства измерений. Стандартные справочные данные. Армко железо. Никель. Температурный коэффициент линейного расширения и удельное электрическое сопротивление в диапазоне температур от 300 К до 1000 К
ГОСТ Р
Скачать ГОСТ в PDF или DOC бесплатно
Основная информация
Обозначение:
ГОСТ Р 8.992-2020
Статус:
Действует
Тип:
ГОСТ Р
Название русское:
Государственная система обеспечения единства измерений. Стандартные справочные данные. Армко железо. Никель. Температурный коэффициент линейного расширения и удельное электрическое сопротивление в диапазоне температур от 300 К до 1000 К
Название английское:
State system for ensuring the uniformity of measurements. Standard reference data. Armko iron. Nickel. Temperature coefficient linear expansion and electrical resistivity in the temperature range from 300 K to 1000 K
Даты и сроки
Дата издания:
06-17-20
Дата введения в действие:
02-01-21
Дата завершения срока действия:
-
Применение и описание
Область и условия применения:
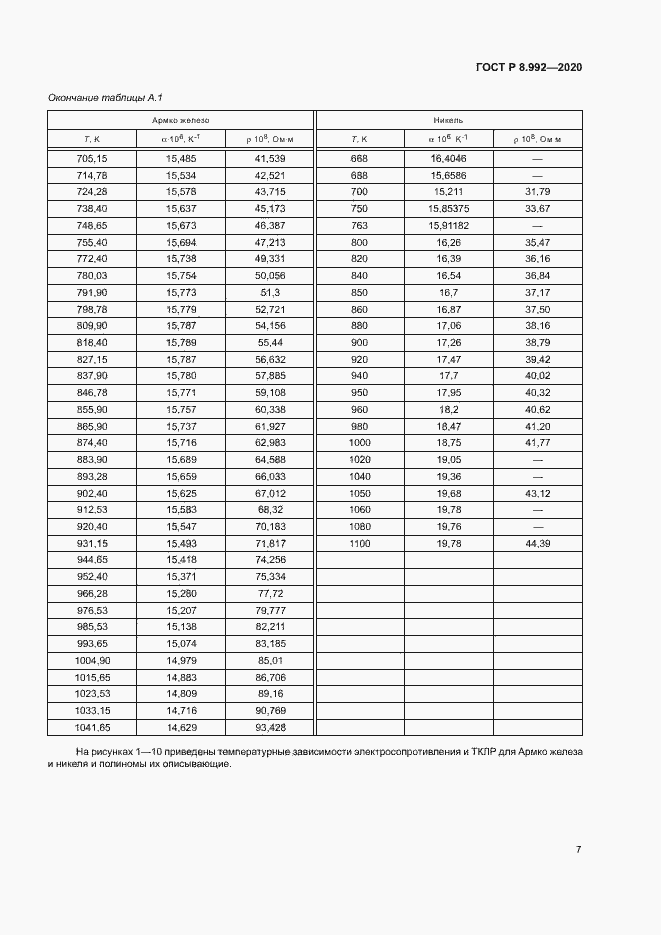
Настоящий стандарт распространяется на стандартные справочные данные (ССД) о температурном коэффициенте линейного расширения (ТКЛР) и электрических сопротивлений. Настоящий стандарт предназначен для использования ССД о ТКЛР Армко железа и никеля в металлургии, машиностроении, материаловедении в диапазоне температур от 300 К до 1000 К, измерения которого выполнены на кварцевом дилатометре [1], и данных об удельном электрическом сопротивлении, определяемых четырехзондовым методом на постоянном токе (см. приложение А)
Связи и замены
Заменяющий:
-
Описание стандарта
ГОСТ Р 8.992-2020 Государственная система обеспечения единства измерений. Стандартные справочные данные. Армко железо. Никель. Температурный коэффициент линейного расширения и удельное электрическое сопротивление в диапазоне температур от 300 К до 1000 К
Страницы стандарта


















