ГОСТ ISO/TS 28038-2021 Статистические методы. Определение и использование полиномиальных функций при калибровке
ГОСТ Р ИСО/ТС
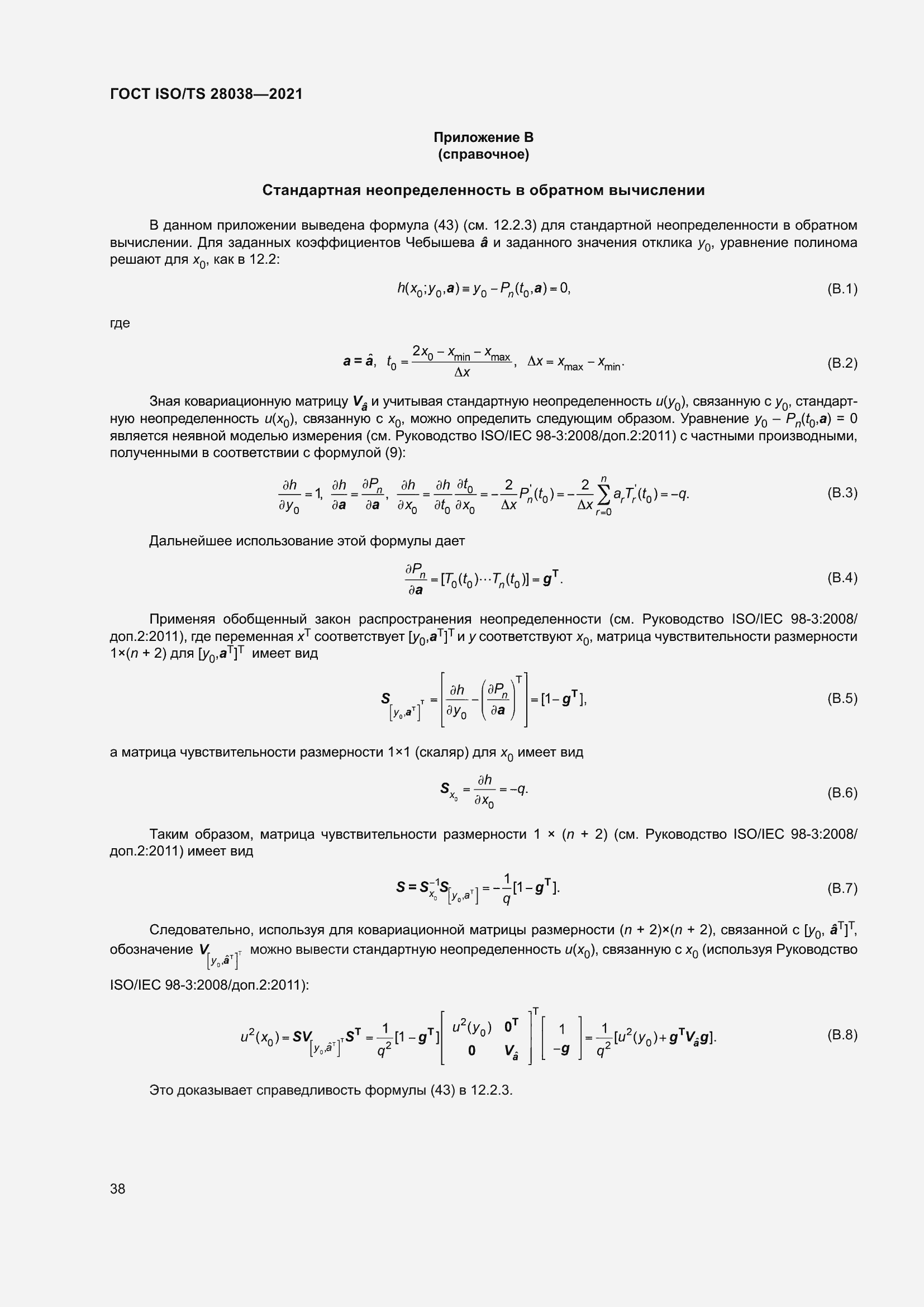
Скачать ГОСТ в PDF или DOC бесплатно
Основная информация
Обозначение:
ГОСТ ISO/TS 28038-2021
Статус:
Действует
Тип:
ГОСТ Р ИСО/ТС
Название русское:
Статистические методы. Определение и использование полиномиальных функций при калибровке
Название английское:
Statistical methods. Determination and use of polynomial calibration functions
Даты и сроки
Дата регистрации:
08-26-21
Дата издания:
10-20-21
Дата введения в действие:
01-01-22
Дата завершения срока действия:
-
Применение и описание
Область и условия применения:
В настоящем стандарте рассмотрены полиномиальные калибровочные функции, которые описывают связь между переменной стимула и переменной отклика. Параметры полиномиальных функций оценивают по данным калибровки, состоящим из набора пар значений стимула и отклика. Рассмотрены различные случаи, связанные с особенностями неопределенностей, связанных с данными. Оценки параметров полиномиальной калибровочной функции определяют с использованием метода наименьших квадратов с учетом заданной информации о неопределенности. Предполагается, что данные калибровки соответствуют цели и, следовательно, обработка выбросов не рассмотрена. Предполагается также, что ошибки данных калибровки подчиняются нормальному распределению. В настоящем стандарте уделено особое внимание выбору метода наименьших квадратов, соответствующего особенностям структуры неопределенности данных в каждом конкретном случае. Поскольку упоминаемые методы хорошо описаны в технической литературе, а программное обеспечение, которое их реализует, доступно, они не описаны в настоящем стандарте
Связи и замены
Заменяющий:
-
Описание стандарта
ГОСТ ISO/TS 28038-2021 Статистические методы. Определение и использование полиномиальных функций при калибровке
Страницы стандарта


















































Приложение №1: Поправка к ГОСТ ISO/TS 28038-2021 Обозначение: Поправка к ГОСТ ISO/TS 28038-2021 Дата введения в действие: 09.02.2022

Приложение №2: Поправка к ГОСТ ISO/TS 28038-2021 Обозначение: Поправка к ГОСТ ISO/TS 28038-2021 Дата введения в действие: 05.08.2022
