ГОСТ 14827-69 Калибры-нутромеры сферические непроходные диаметром свыше 100 до 360 мм. Конструкция и размеры
ГОСТ
Скачать ГОСТ в PDF или DOC бесплатно
Основная информация
Обозначение:
ГОСТ 14827-69
Статус:
Действует
Тип:
ГОСТ
Название русское:
Калибры-нутромеры сферические непроходные диаметром свыше 100 до 360 мм. Конструкция и размеры
Название английское:
No-go ball plug gauges with diameter over 100 to 360 mm. Design and dimensions
Даты и сроки
Дата издания:
04-01-85
Дата введения в действие:
01-01-71
Дата завершения срока действия:
-
Применение и описание
Область и условия применения:
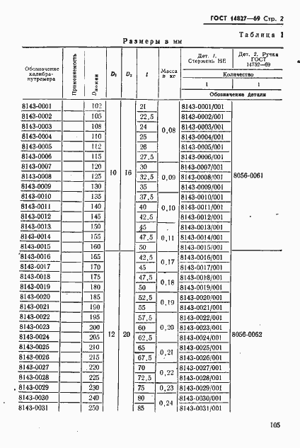
Настоящий стандарт распространяется на калибры-нутромеры сферические непроходные, предназначенные для контроля отверстий с полями допусков по ЕСДП СЭВ и системе ОСТ
Связи и замены
Заменяющий:
-
Взамен:
МН 4138-62
Изменения и переиздания
Список изменений:
№1 от (рег. ) «Срок действия продлен» №2 от (рег. ) «Срок действия продлен» №3 от (рег. ) «Срок действия продлен»
Описание стандарта
ГОСТ 14827-69 Калибры-нутромеры сферические непроходные диаметром свыше 100 до 360 мм. Конструкция и размеры
Страницы стандарта










