ГОСТ 16775-93 Калибры-скобы гладкие, оснащенные твердым сплавом, для диаметров от 3 до 180 мм. Размеры
ГОСТ
Скачать ГОСТ в PDF или DOC бесплатно
Основная информация
Обозначение:
ГОСТ 16775-93
Статус:
Действует
Тип:
ГОСТ
Название русское:
Калибры-скобы гладкие, оснащенные твердым сплавом, для диаметров от 3 до 180 мм. Размеры
Название английское:
Plain snap gauges with cemented carbide alloy plates for diameters from 3 to 180 mm. Dimensions
Даты и сроки
Дата регистрации:
10-21-93
Дата издания:
01-01-08
Дата введения в действие:
01-01-95
Дата завершения срока действия:
-
Применение и описание
Область и условия применения:
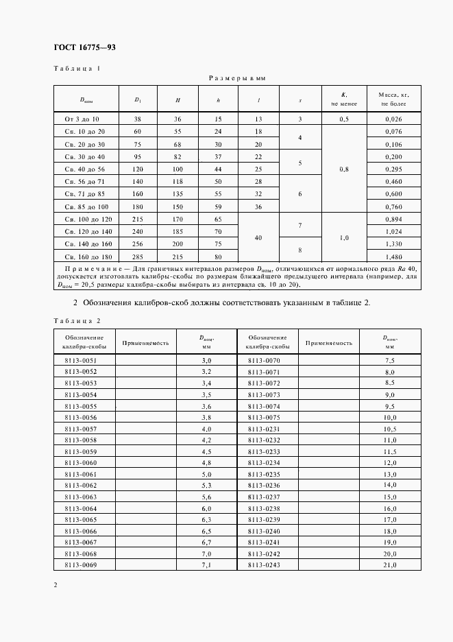
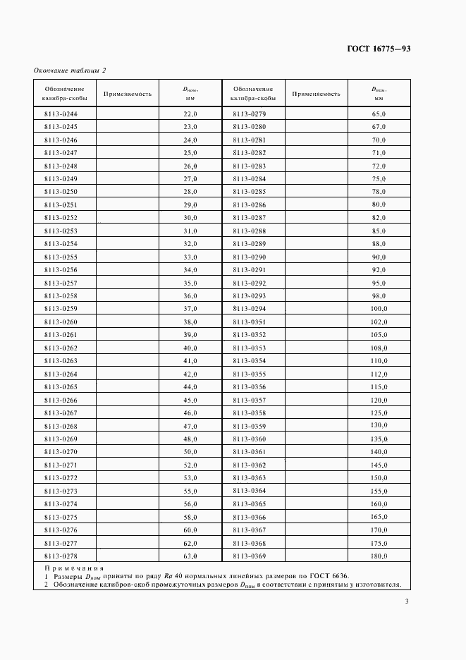
Настоящий стандарт распространяется на гладкие калибры-скобы с пластинами из твердого сплава для контроля валов диаметрами от 3 до 180 мм с допусками по ЕСДП от 6-го до 12-го квалитета и допусками по системе ОСТ от 2-го до 5-го класса точности
Связи и замены
Заменяющий:
-
Взамен:
ГОСТ 16775-71;ГОСТ 16776-71;ГОСТ 16777-71
Описание стандарта
ГОСТ 16775-93 Калибры-скобы гладкие, оснащенные твердым сплавом, для диаметров от 3 до 180 мм. Размеры
Страницы стандарта







