ГОСТ 17756-72 Пробки резьбовые со вставками с полным профилем резьбы диаметром от 1 до 100 мм. Конструкция и основные размеры
ГОСТ
Скачать ГОСТ в PDF или DOC бесплатно
Основная информация
Обозначение:
ГОСТ 17756-72
Статус:
Действует
Тип:
ГОСТ
Название русское:
Пробки резьбовые со вставками с полным профилем резьбы диаметром от 1 до 100 мм. Конструкция и основные размеры
Название английское:
Threaded plug-gauges with inserts with full-form of thread of diameters from 1 to 100 mm. Design and basic dimensions
Даты и сроки
Дата издания:
03-01-90
Дата введения в действие:
06-30-73
Дата завершения срока действия:
-
Применение и описание
Область и условия применения:
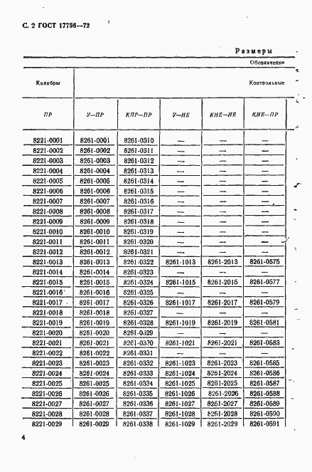
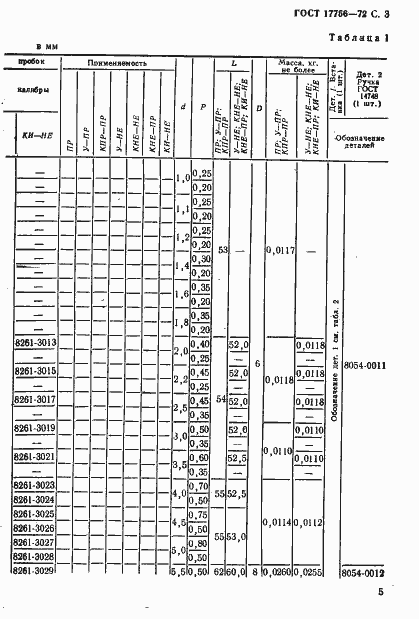
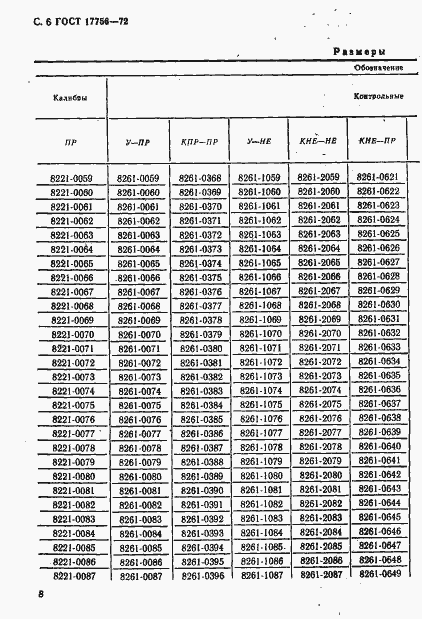
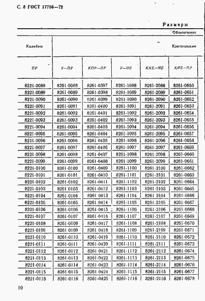
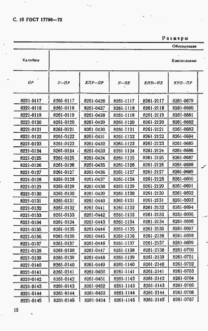
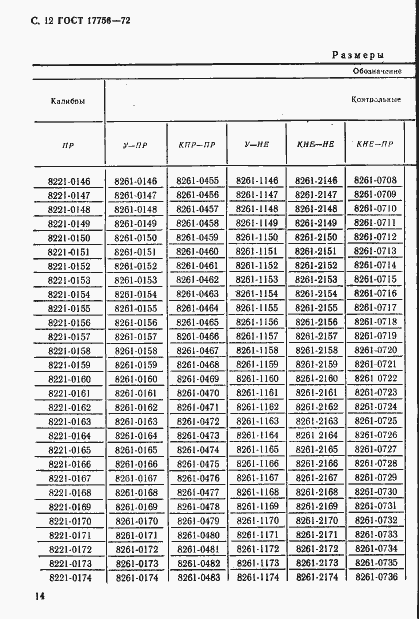
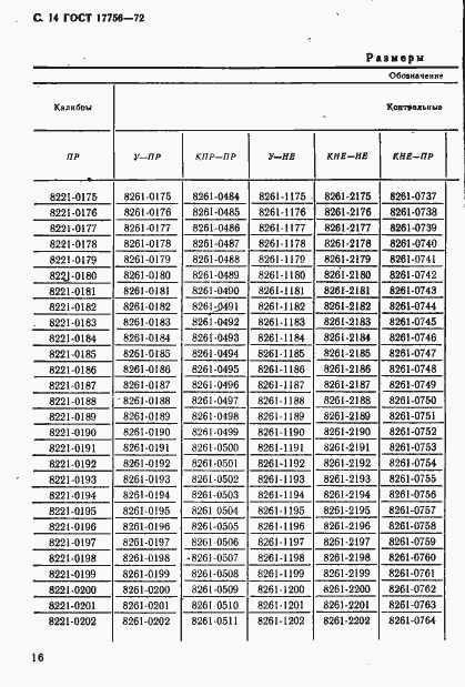
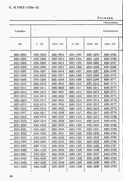
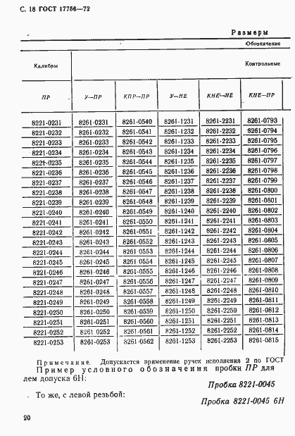
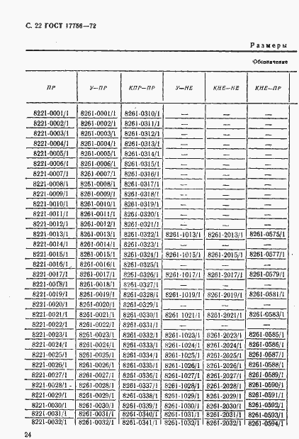
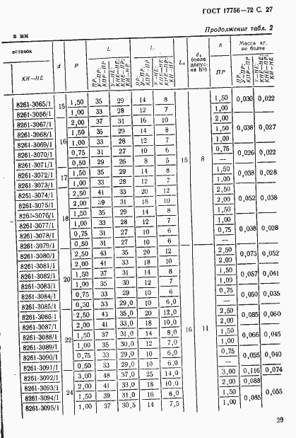
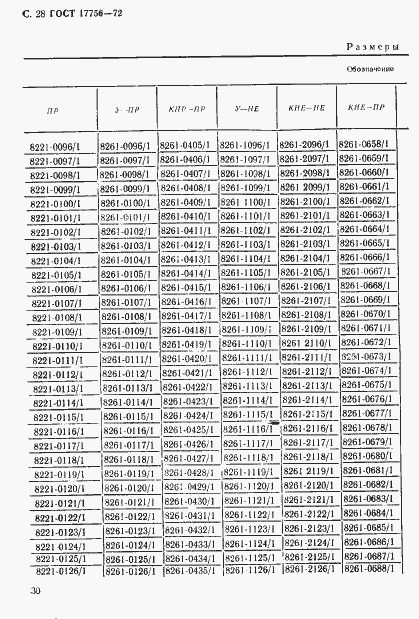
Настоящий стандарт распространяется на пробки резьбовые для контроля метрической резьбы
Связи и замены
Заменяющий:
-
Взамен:
МН 564-62
Изменения и переиздания
Список изменений:
№1 от (рег. ) «Срок действия продлен» №2 от (рег. ) «Срок действия продлен» №3 от (рег. ) «Срок действия продлен»
Описание стандарта
ГОСТ 17756-72 Пробки резьбовые со вставками с полным профилем резьбы диаметром от 1 до 100 мм. Конструкция и основные размеры
Страницы стандарта








































