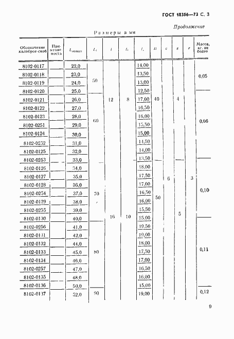
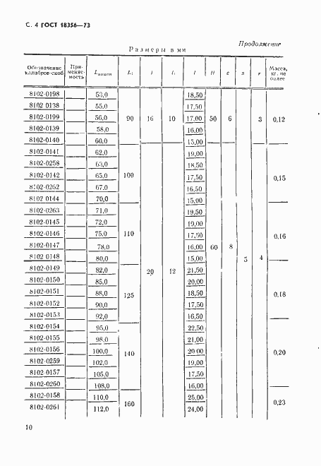
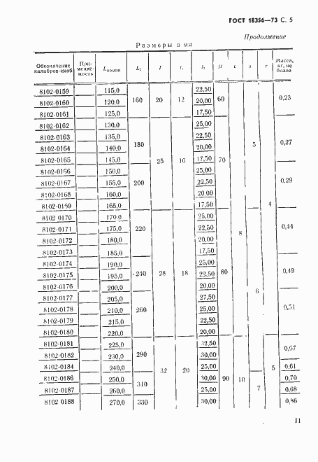
ГОСТ 18356-73 Калибры-скобы двусторонние для длин свыше 10 до 360 мм. Конструкция и размеры
ГОСТ
Скачать ГОСТ в PDF или DOC бесплатно
Основная информация
Обозначение:
ГОСТ 18356-73
Статус:
Действует
Тип:
ГОСТ
Название русское:
Калибры-скобы двусторонние для длин свыше 10 до 360 мм. Конструкция и размеры
Название английское:
Plain double-ended snap gauges for lenght over 10 to 360 mm. Design and dimensions
Даты и сроки
Дата издания:
08-01-88
Дата введения в действие:
01-01-74
Дата завершения срока действия:
-
Применение и описание
Область и условия применения:
Настоящий стандарт распространяется на двусторонние калибры-скобы для контроля длин до 260 мм с полями допусков по ЕСДП 6-го и более грубых квалитетов, свыше 260 мм - 9-го и более грубых квалитетов, а также для контроля длин до 260 мм с полями допусков по системе ОСТ 2-го и более грубых классов точности, свыше 260 мм - 3-го и более грубых классов точности
Связи и замены
Заменяющий:
-
Взамен:
МН 249-64
Изменения и переиздания
Список изменений:
№1 от (рег. ) «Срок действия продлен»
Описание стандарта
ГОСТ 18356-73 Калибры-скобы двусторонние для длин свыше 10 до 360 мм. Конструкция и размеры
Страницы стандарта





