ГОСТ 18365-93 Калибры-скобы листовые со сменными губками для диаметров свыше 100 до 360 мм. Размеры
ГОСТ
Скачать ГОСТ в PDF или DOC бесплатно
Основная информация
Обозначение:
ГОСТ 18365-93
Статус:
Действует
Тип:
ГОСТ
Название русское:
Калибры-скобы листовые со сменными губками для диаметров свыше 100 до 360 мм. Размеры
Название английское:
Plate snap-gauges with changeable lips for diameters over 100 to 360 mm. Dimensions
Даты и сроки
Дата издания:
02-01-04
Дата введения в действие:
01-01-95
Дата завершения срока действия:
-
Применение и описание
Область и условия применения:
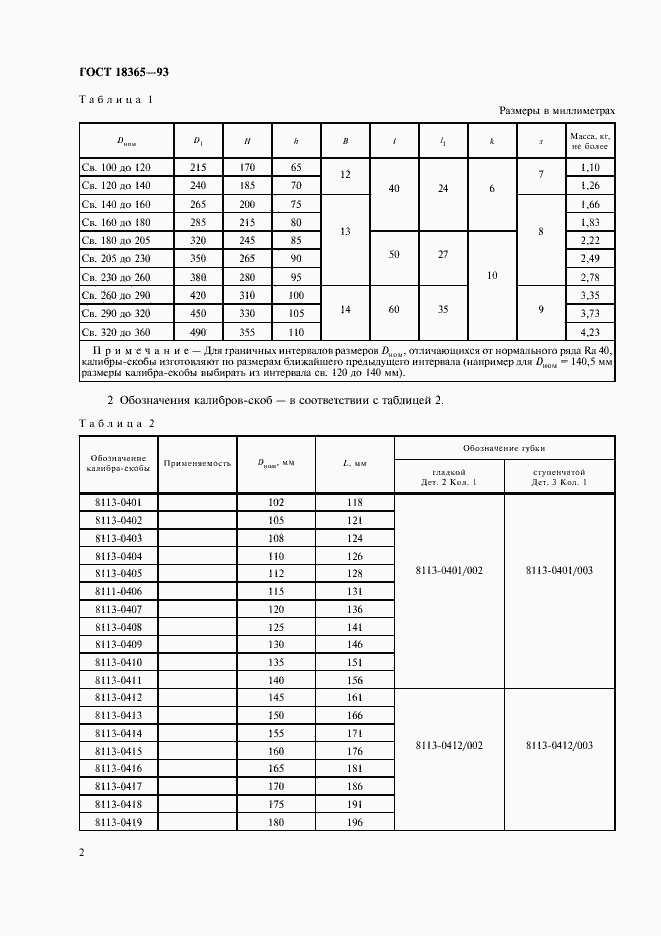
Настоящий стандарт распространяется на гладкие листовые односторонние двупредельные калибры-скобы со сменными губками для контроля валов диаметрами свыше 100 до 360 мм
Связи и замены
Заменяющий:
-
Взамен:
ГОСТ 18365-73;ГОСТ 18366-73
Описание стандарта
ГОСТ 18365-93 Калибры-скобы листовые со сменными губками для диаметров свыше 100 до 360 мм. Размеры
Страницы стандарта







