ГОСТ 18367-93 Калибры-скобы штампованные для диаметров свыше 10 до 180 мм. Размеры
ГОСТ
Скачать ГОСТ в PDF или DOC бесплатно
Основная информация
Обозначение:
ГОСТ 18367-93
Статус:
Действует
Тип:
ГОСТ
Название русское:
Калибры-скобы штампованные для диаметров свыше 10 до 180 мм. Размеры
Название английское:
Pressed snap-gauges for diameters over 10 to 180 mm. Dimensions
Даты и сроки
Дата регистрации:
10-21-93
Дата издания:
12-14-94
Дата введения в действие:
01-01-95
Дата завершения срока действия:
-
Применение и описание
Область и условия применения:
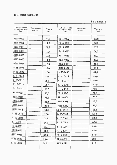
Настоящий стандарт распространяется на гладкие штампованные односторонние двупредельные калибры-скобы для контроля валов диаметрами свыше 10 до 180 мм с допусками по ЕСДП 6-го и более грубых квалитетов и по системе ОСТ 2-го и более грубых классов точности
Связи и замены
Заменяющий:
-
Взамен:
ГОСТ 18367-73;ГОСТ 18368-73
Описание стандарта
ГОСТ 18367-93 Калибры-скобы штампованные для диаметров свыше 10 до 180 мм. Размеры
Страницы стандарта











