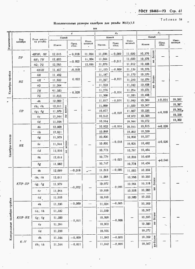
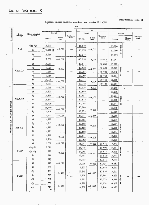
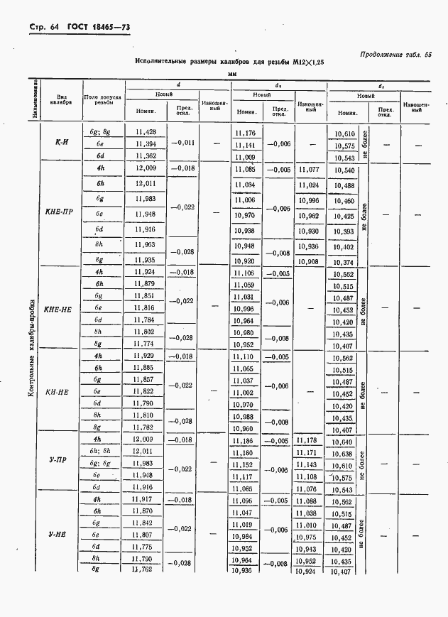
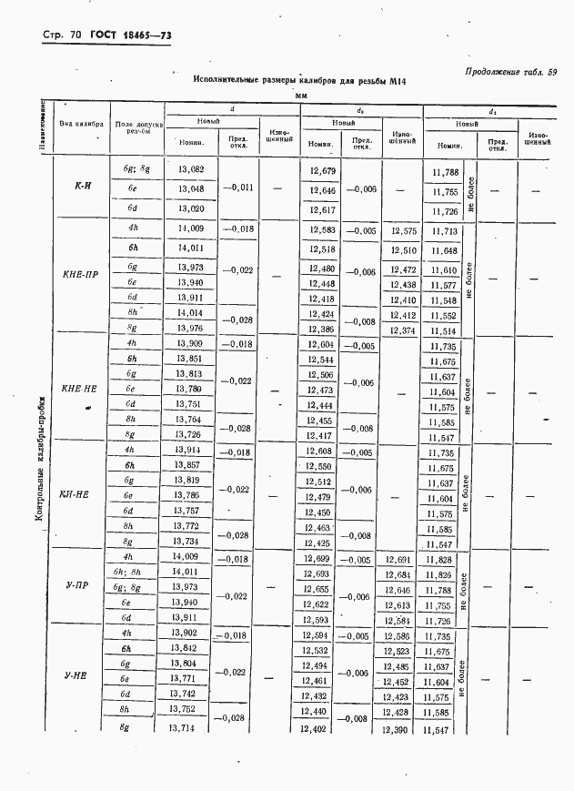
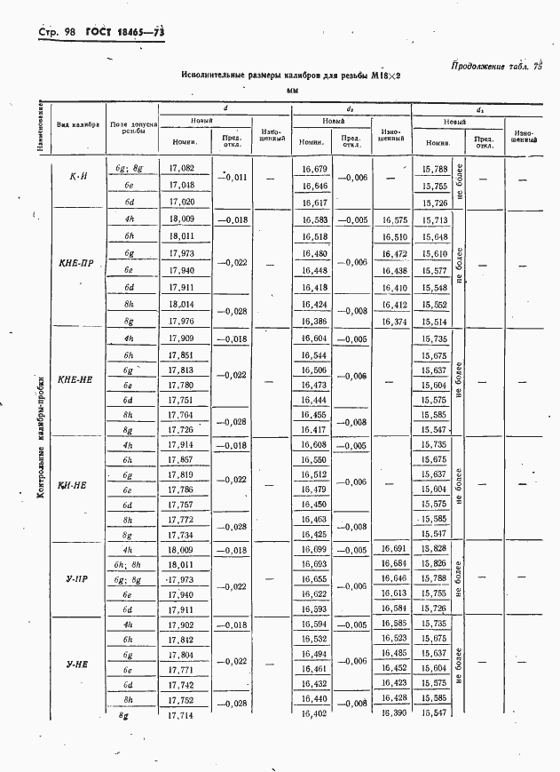
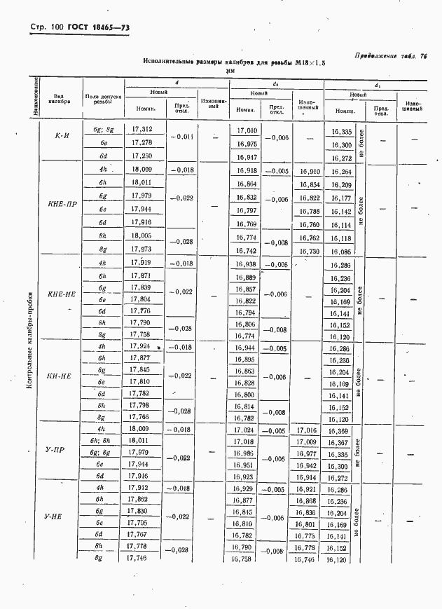
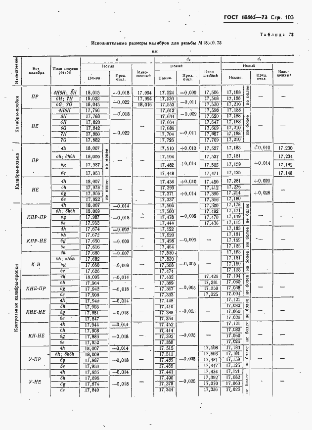
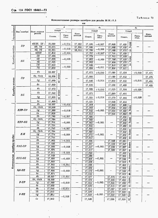
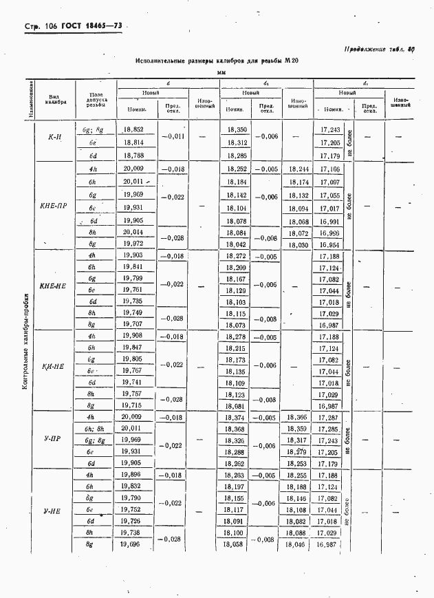
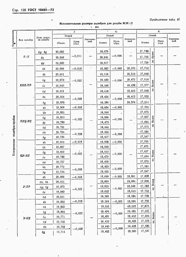
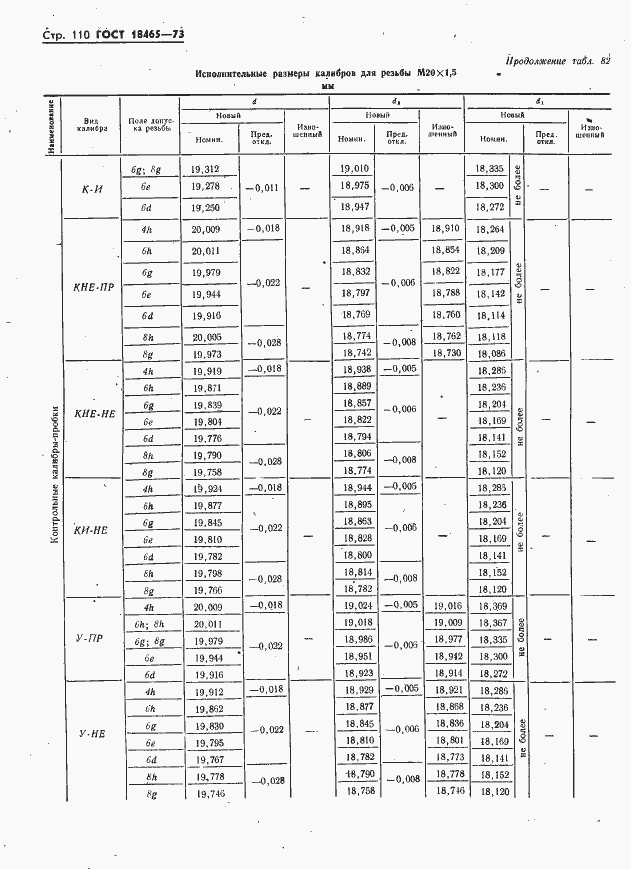
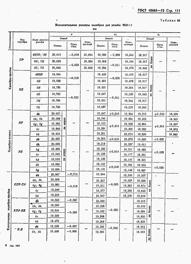
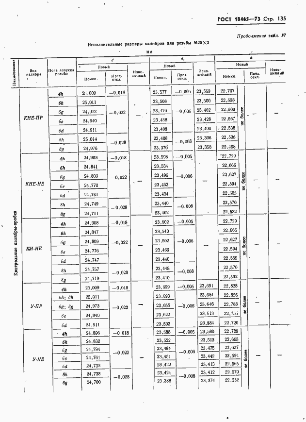
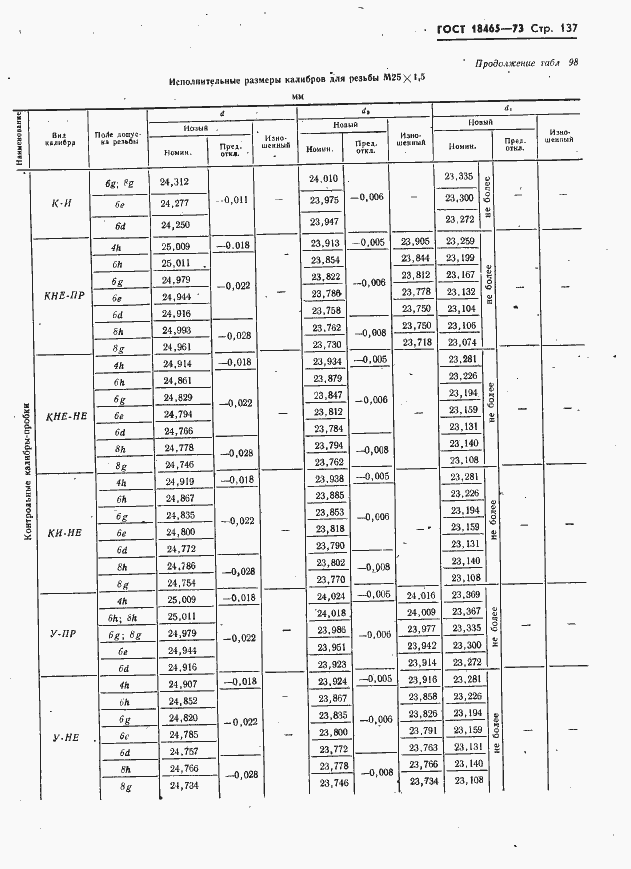
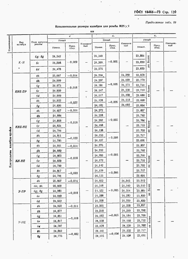
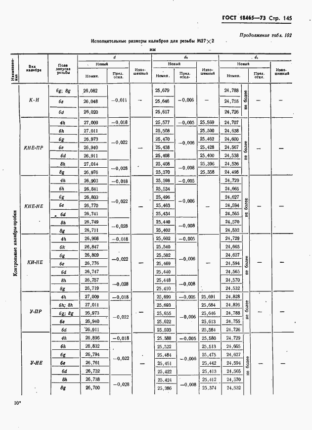
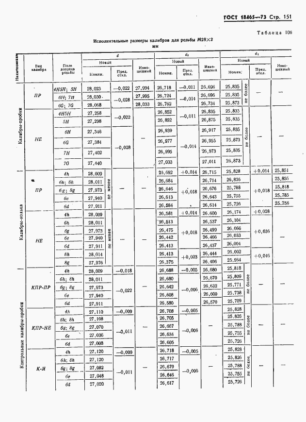
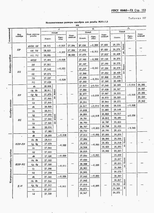
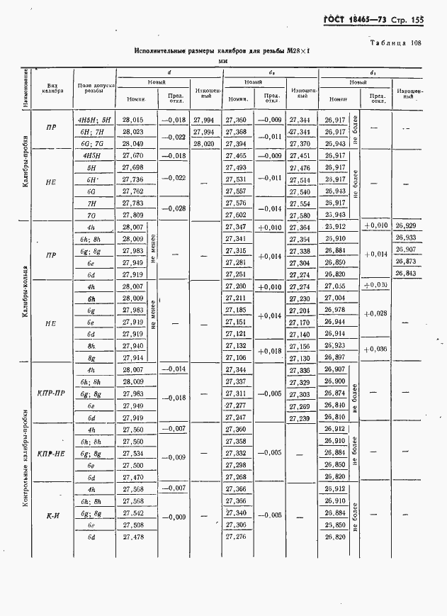
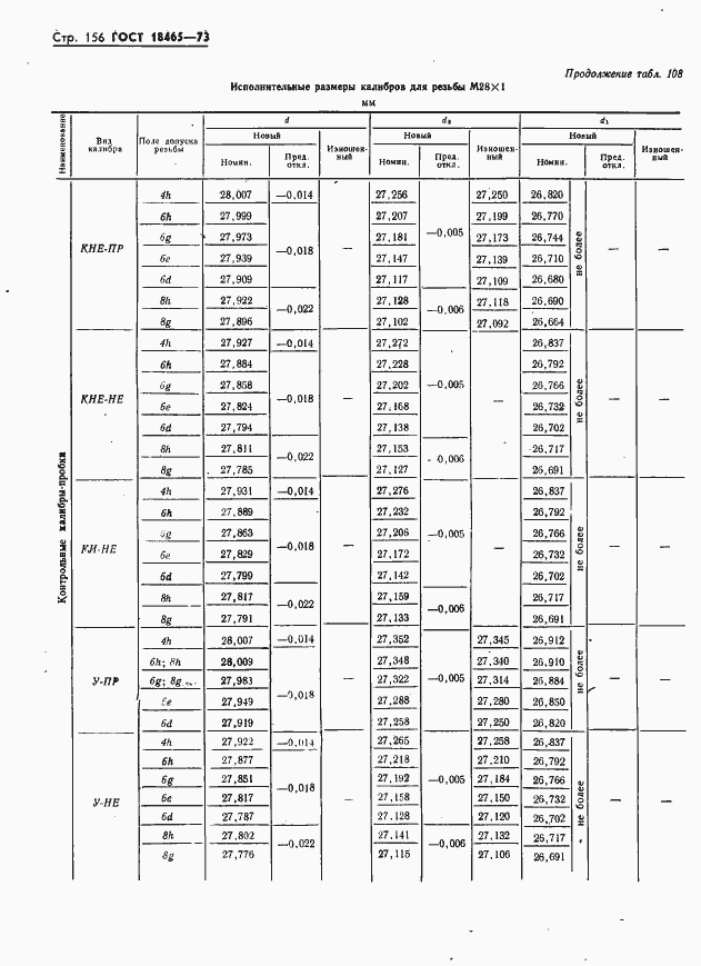
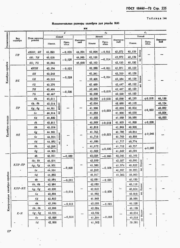
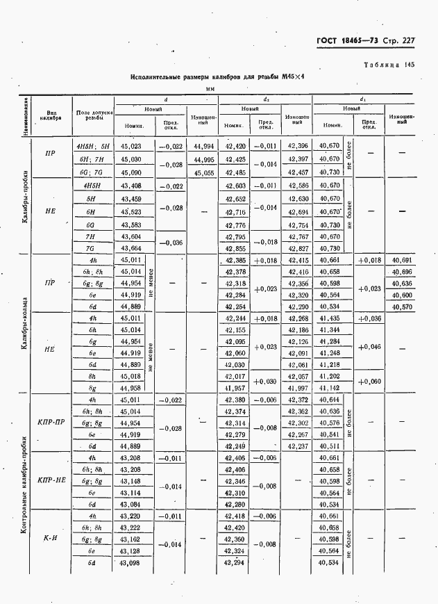
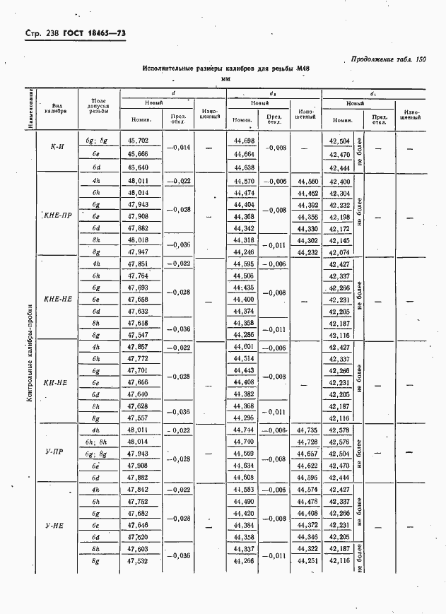
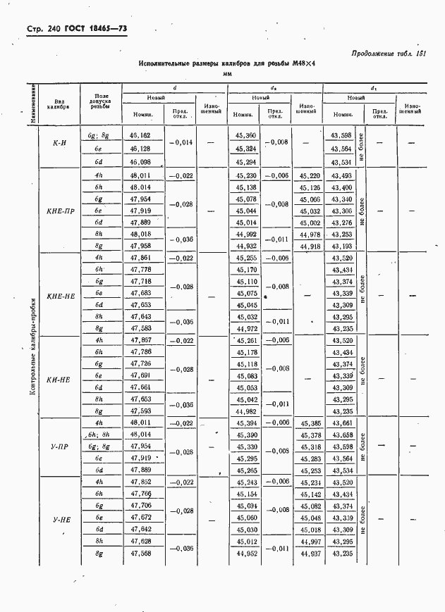
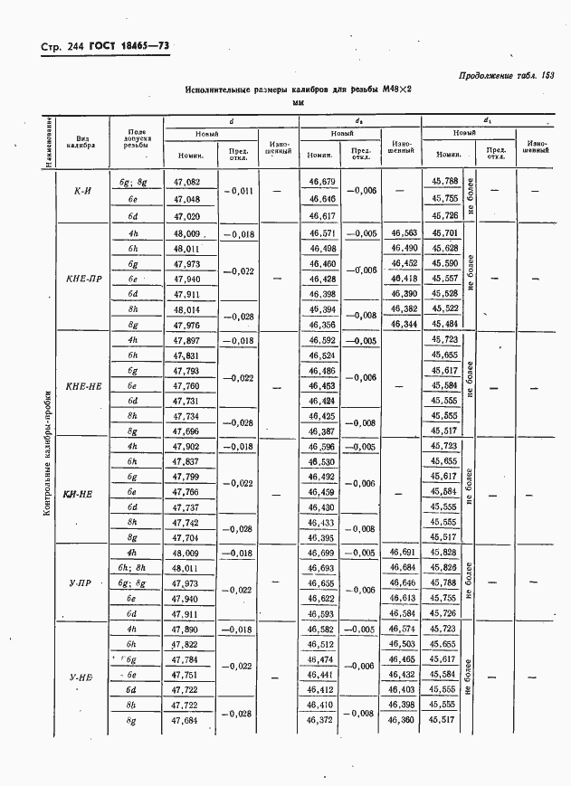
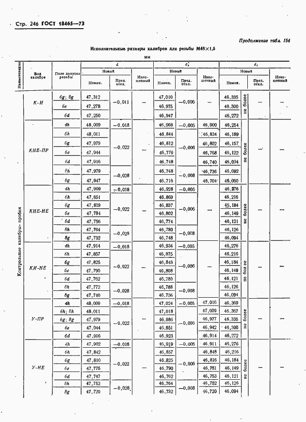
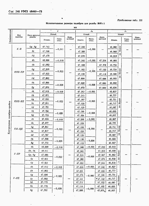
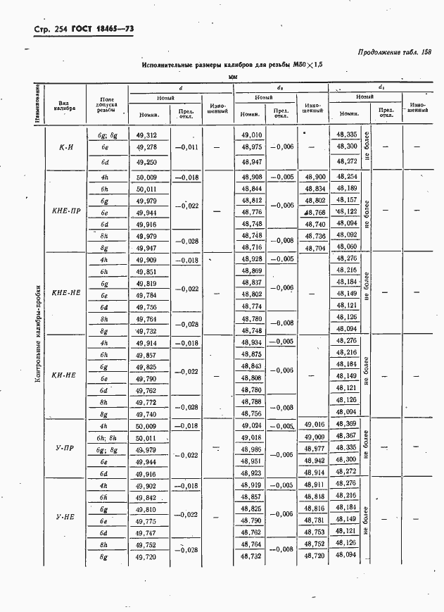
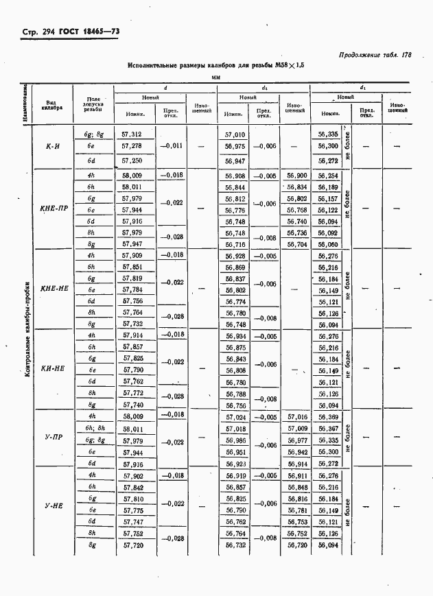
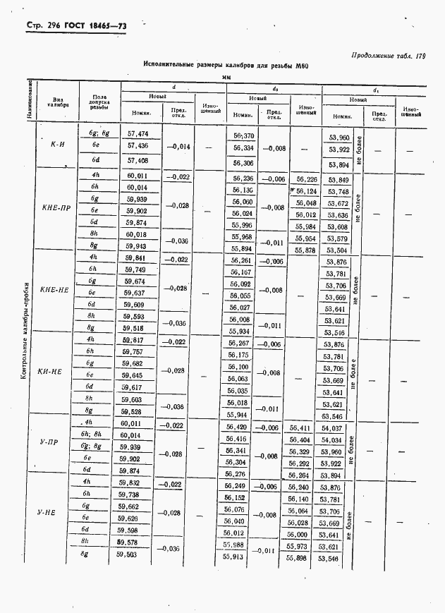
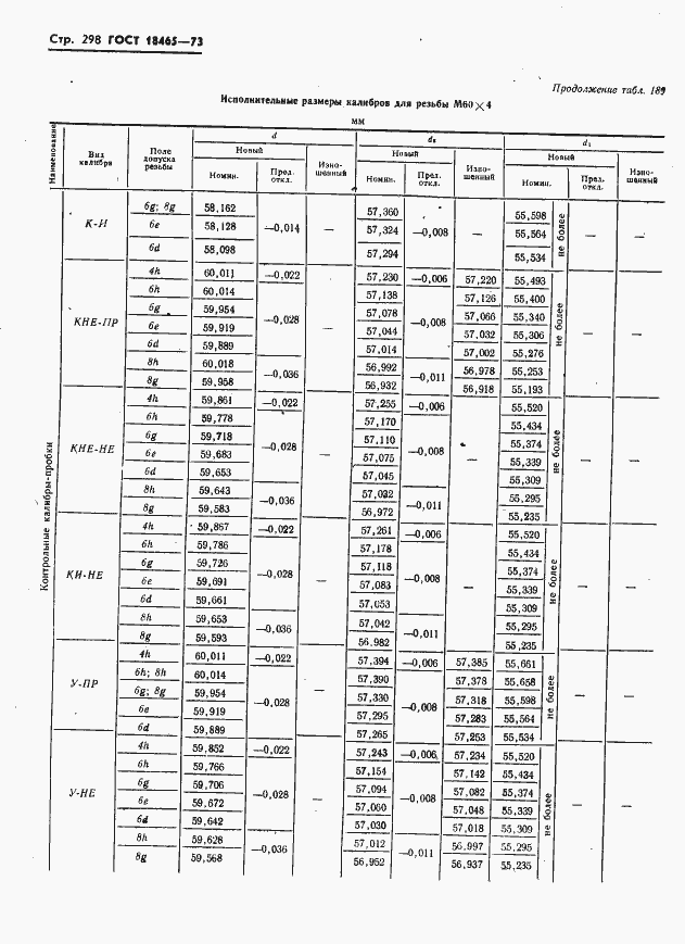
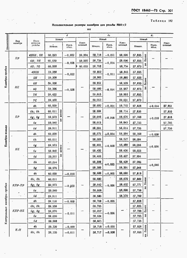
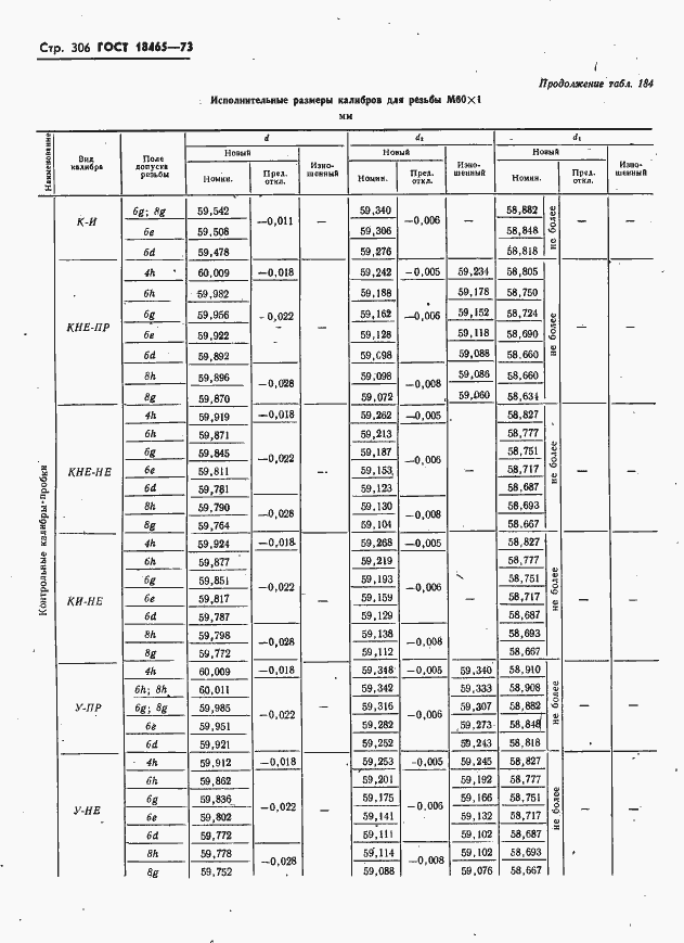
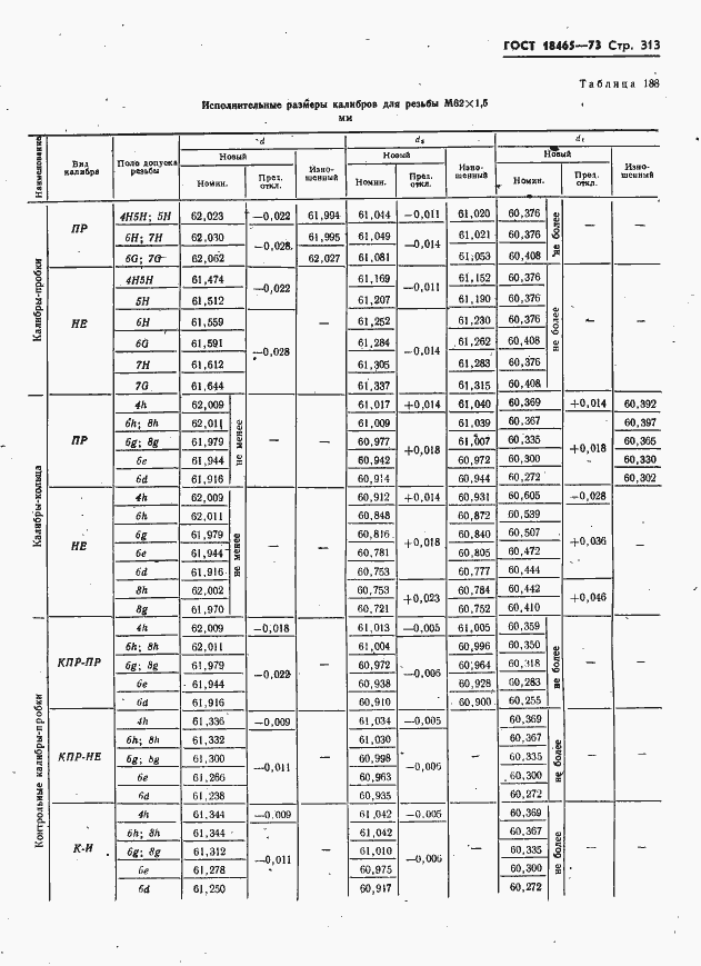
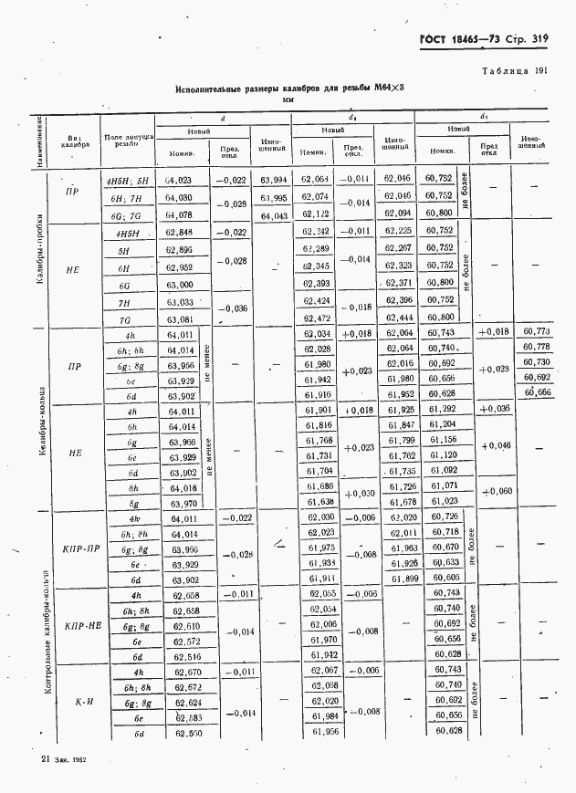
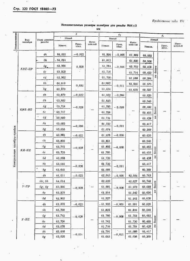
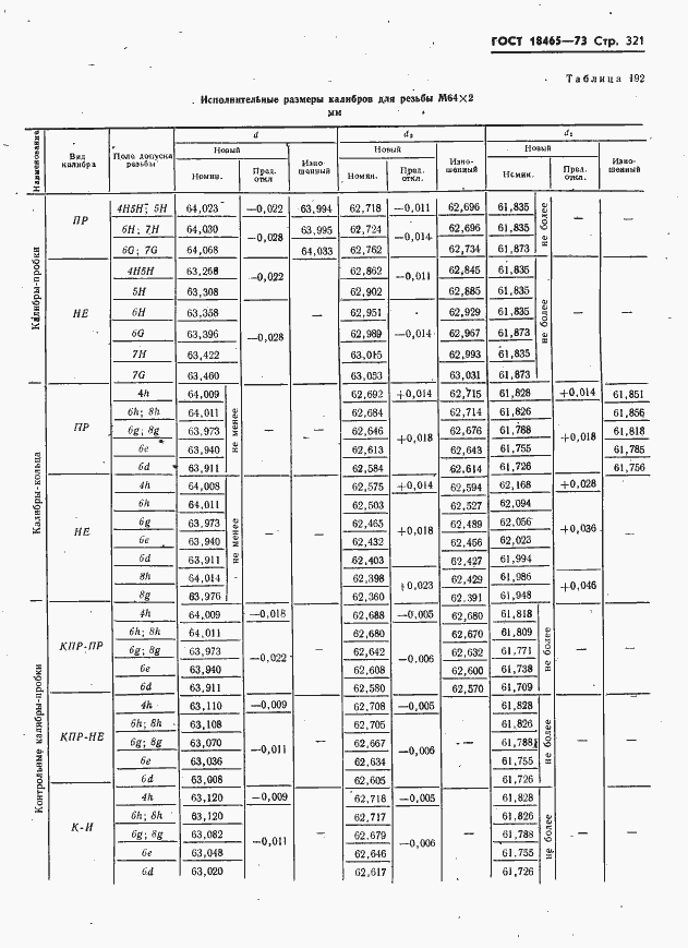
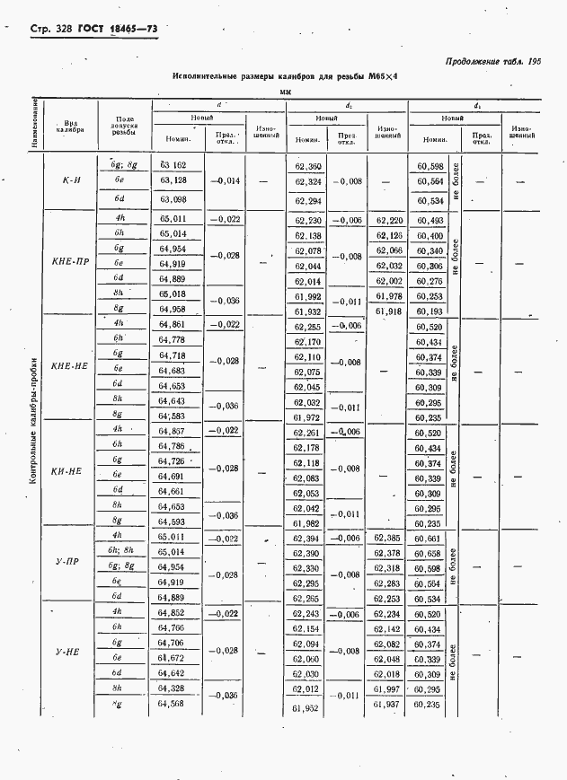
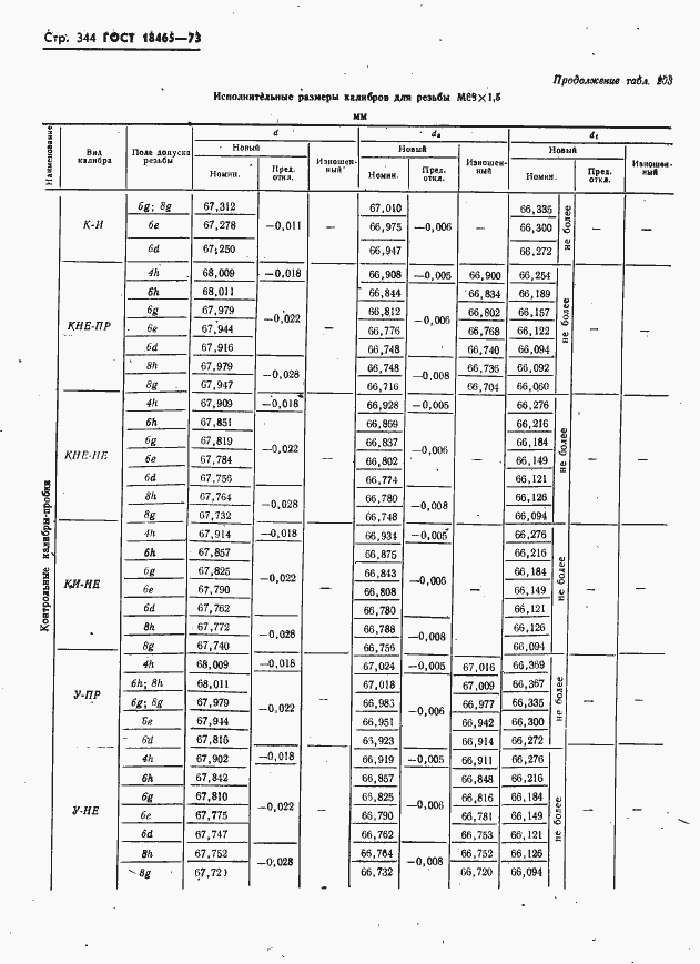
ГОСТ 18465-73 Калибры для метрической резьбы от 1 до 68 мм. Исполнительные размеры
ГОСТ
Скачать ГОСТ в PDF или DOC бесплатно
Основная информация
Обозначение:
ГОСТ 18465-73
Статус:
Действует
Тип:
ГОСТ
Название русское:
Калибры для метрической резьбы от 1 до 68 мм. Исполнительные размеры
Название английское:
Gauges for metric thread from 1 to 68 mm. Required dimensions
Даты и сроки
Дата издания:
09-01-83
Дата введения в действие:
06-30-73
Дата завершения срока действия:
-
Применение и описание
Область и условия применения:
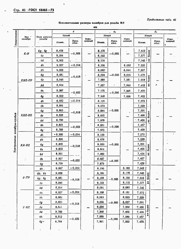
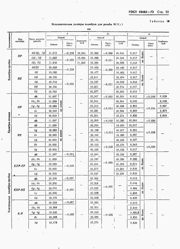
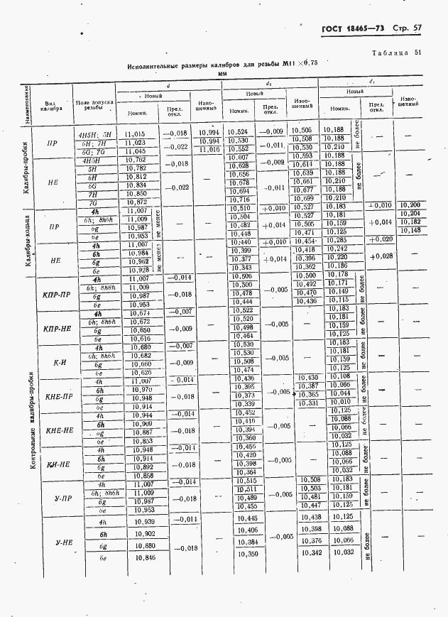
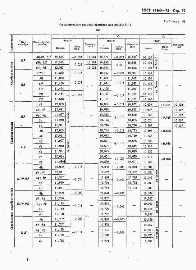
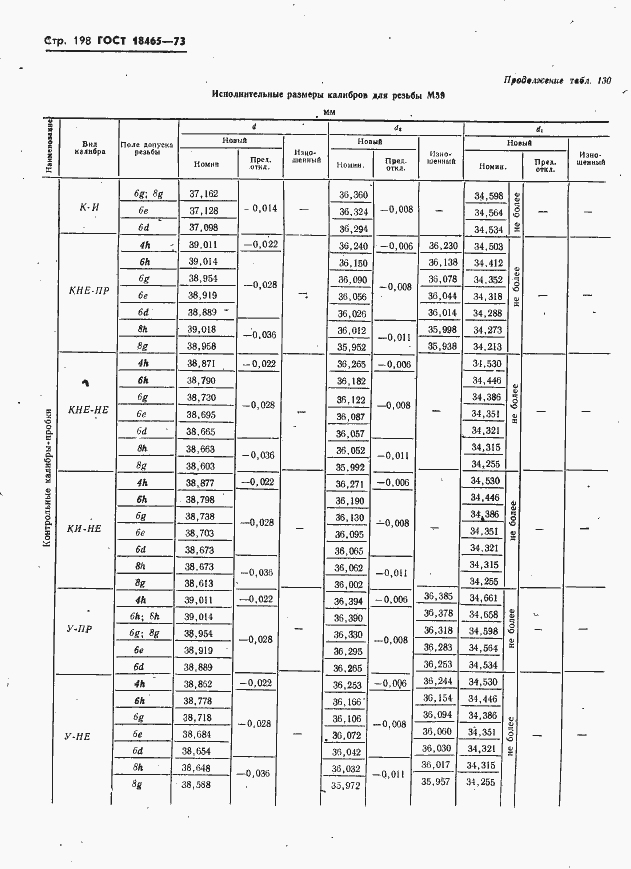
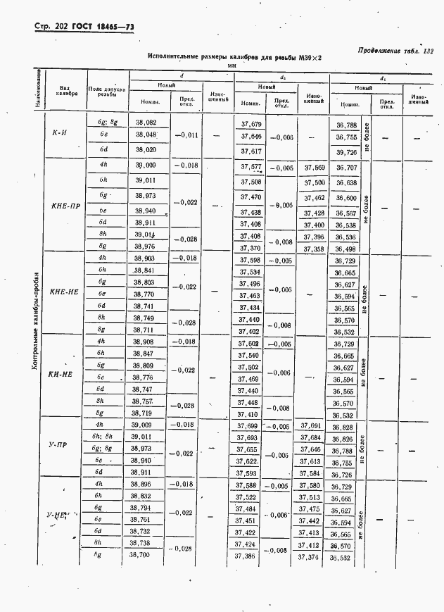
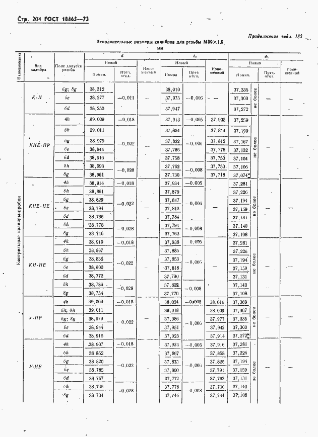
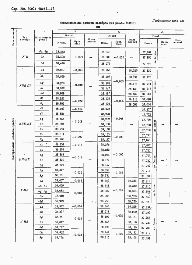
Настоящий стандарт распространяется на резьбовые калибры для метрической резьбы
Связи и замены
Заменяющий:
-
Взамен:
МН 3915-62;МН 5356-64
Изменения и переиздания
Список изменений:
№0 от (рег. ) «Дата введения перенесена» №1 от (рег. ) «Срок действия продлен» №2 от (рег. ) «Срок действия продлен» №3 от (рег. ) «Срок действия продлен»
Описание стандарта
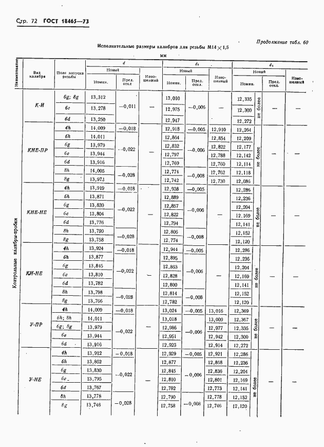
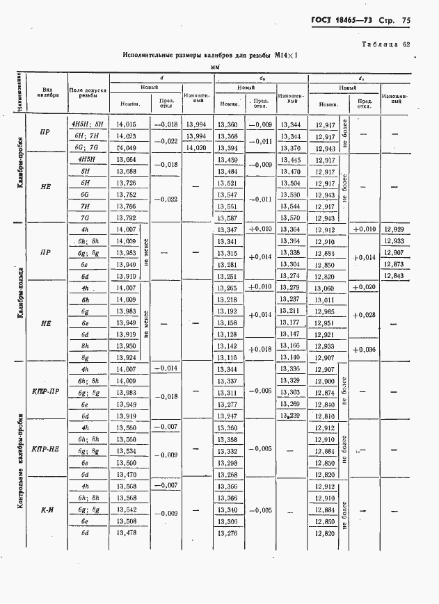
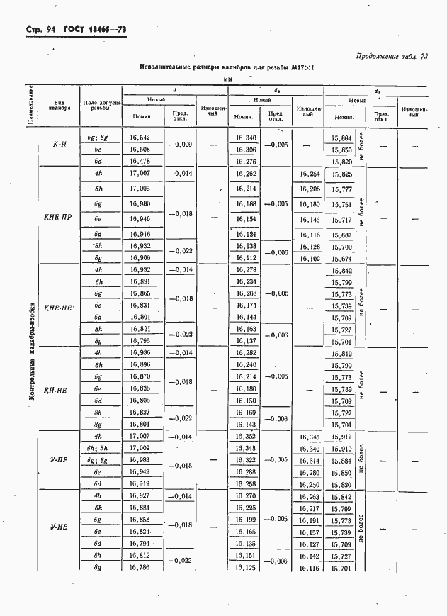
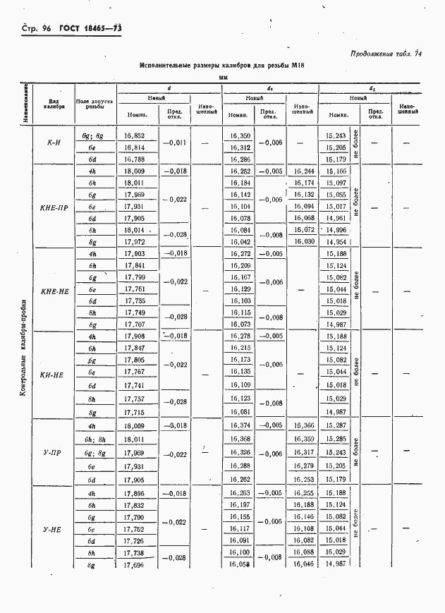
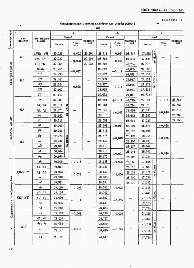
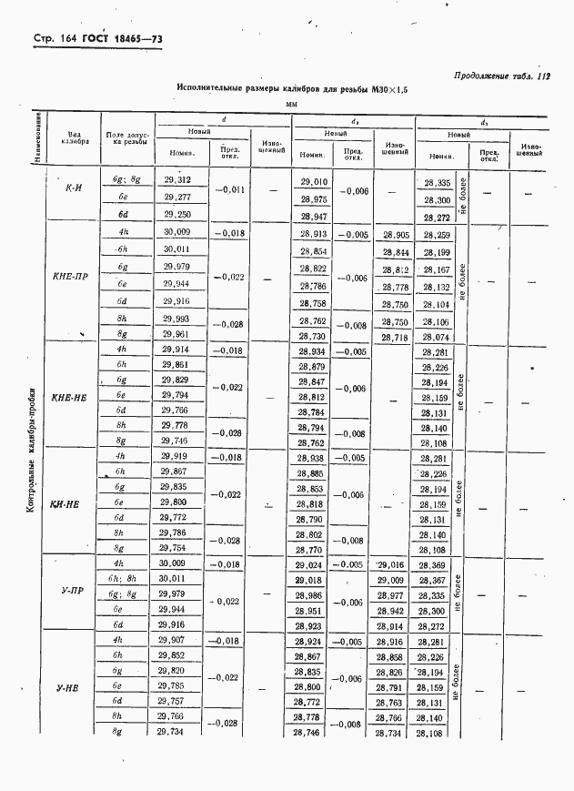
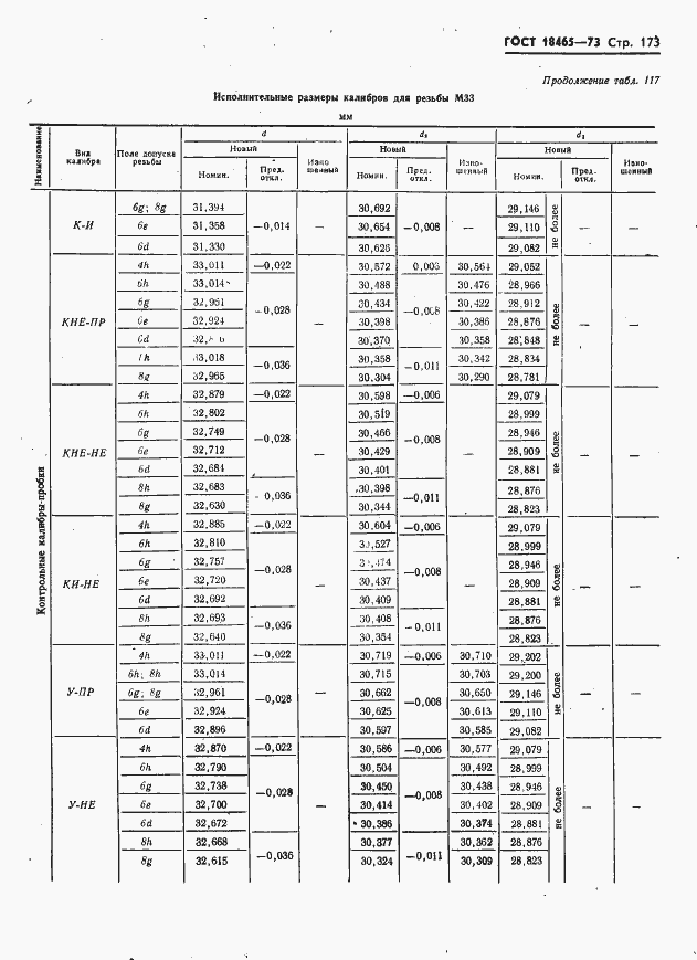
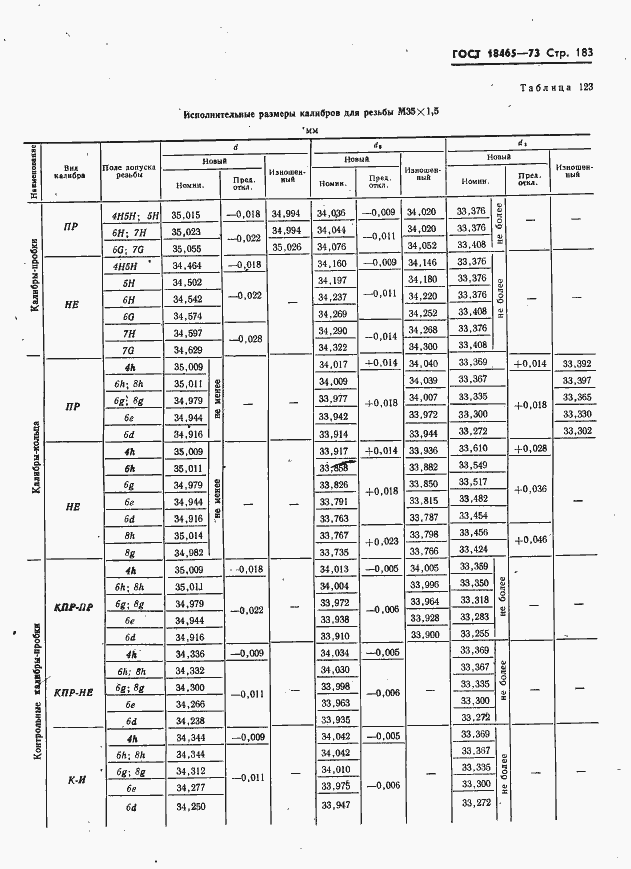
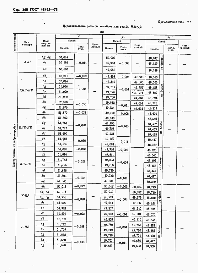
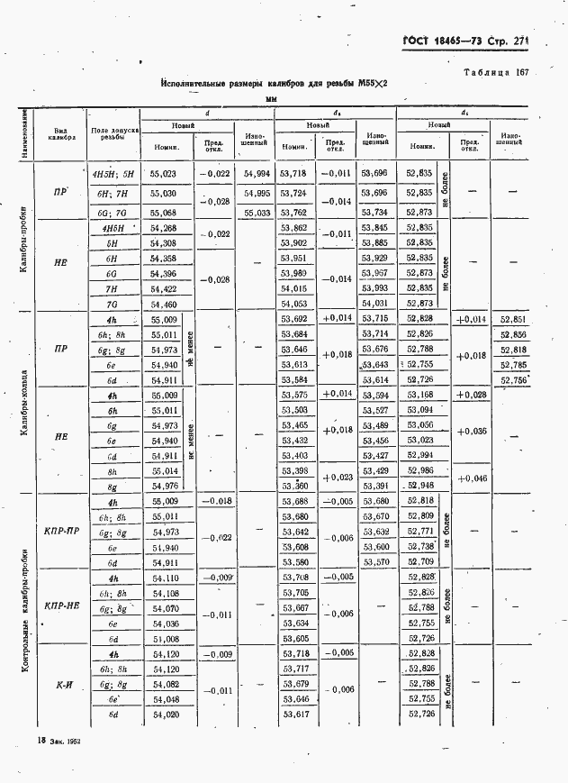
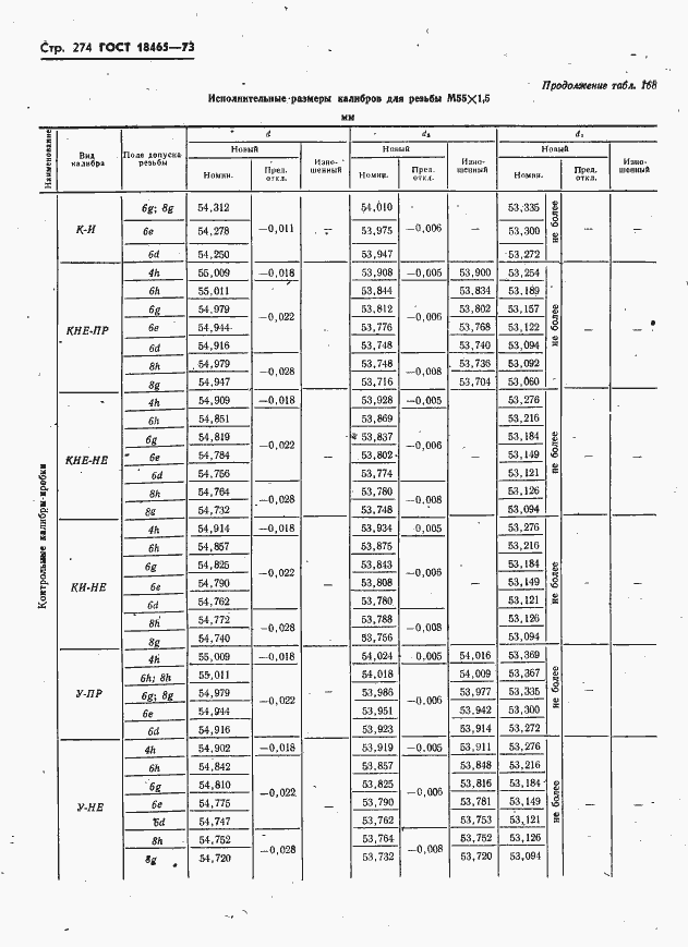
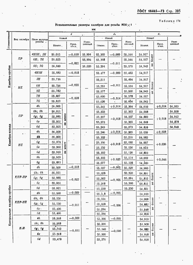
ГОСТ 18465-73 Калибры для метрической резьбы от 1 до 68 мм. Исполнительные размеры
Страницы стандарта



























































































































































































































































































































































































































































Приложение №4: Поправка к ГОСТ 18465-73 Обозначение: Поправка к ГОСТ 18465-73 Дата введения в действие: 01.07.2003

Приложение №5: Поправка к ГОСТ 18465-73 Обозначение: Поправка к ГОСТ 18465-73 Дата введения в действие: 13.03.2025
