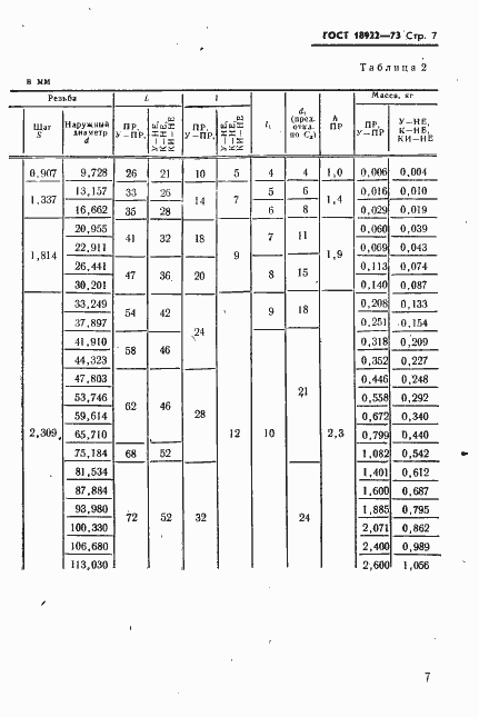
ГОСТ 18922-73 Пробки резьбовые со вставками с полным профилем для трубной цилиндрической резьбы диаметром от 1/16" до 4". Конструкция и основные размеры
ГОСТ
Скачать ГОСТ в PDF или DOC бесплатно
Основная информация
Обозначение:
ГОСТ 18922-73
Статус:
Действует
Тип:
ГОСТ
Название русское:
Пробки резьбовые со вставками с полным профилем для трубной цилиндрической резьбы диаметром от 1/16" до 4". Конструкция и основные размеры
Название английское:
Screw plug-gauges with full-form inserts for pipe cylindrical threads from 1/16"up to 4" nominal diameter. Construction and basic sizes
Даты и сроки
Дата издания:
05-01-79
Дата введения в действие:
01-01-74
Дата завершения срока действия:
-
Применение и описание
Область и условия применения:
Настоящий стандарт распространяется на пробки резьбовые для контроля трубных цилиндрических резьб по ГОСТ 6357-73
Связи и замены
Заменяющий:
-
Взамен:
МН 775-64
Изменения и переиздания
Список изменений:
№1 от (рег. ) «Срок действия продлен»
Описание стандарта
ГОСТ 18922-73 Пробки резьбовые со вставками с полным профилем для трубной цилиндрической резьбы диаметром от 1/16" до 4". Конструкция и основные размеры
Страницы стандарта
















