ГОСТ 22634-77 Калибры для соединений бурильных труб со стабилизирующими поясками и замков к ним. Технические условия
ГОСТ
Скачать ГОСТ в PDF или DOC бесплатно
Основная информация
Обозначение:
ГОСТ 22634-77
Статус:
Действует
Тип:
ГОСТ
Название русское:
Калибры для соединений бурильных труб со стабилизирующими поясками и замков к ним. Технические условия
Название английское:
Gauges for connections of drill pipes with stabilizing collars and tool-joints. Specifications
Даты и сроки
Дата издания:
07-01-03
Дата введения в действие:
01-01-80
Дата завершения срока действия:
-
Применение и описание
Область и условия применения:
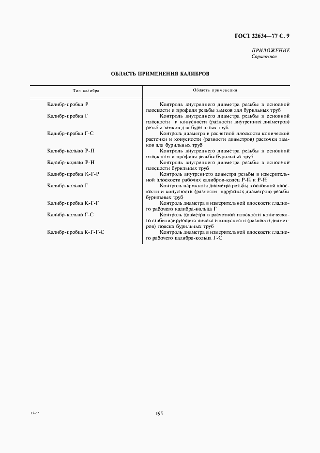
Настоящий стандарт распространяется на конические резьбовые и гладкие калибры для контроля трубной правой и левой трапецеидальной резьбы ТТ, конических стабилизирующих поясков бурильных труб и конических расточек замков
Связи и замены
Заменяющий:
-
Изменения и переиздания
Список изменений:
№1 от (рег. ) «Срок действия продлен»
Описание стандарта
ГОСТ 22634-77 Калибры для соединений бурильных труб со стабилизирующими поясками и замков к ним. Технические условия
Страницы стандарта








