ГОСТ 24939-81 Калибры для цилиндрических резьб. Виды
ГОСТ
Скачать ГОСТ в PDF или DOC бесплатно
Основная информация
Обозначение:
ГОСТ 24939-81
Статус:
Действует
Тип:
ГОСТ
Название русское:
Калибры для цилиндрических резьб. Виды
Название английское:
Gauges for parallel threads. Types
Даты и сроки
Дата издания:
07-01-03
Дата введения в действие:
01-01-82
Дата завершения срока действия:
-
Применение и описание
Область и условия применения:
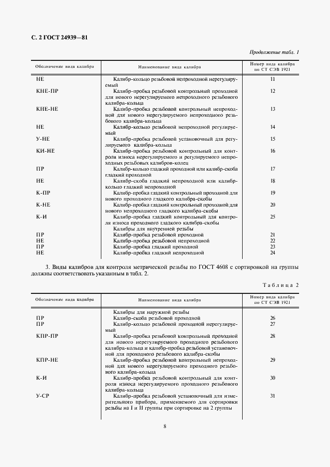
Настоящий стандарт распространяется на резьбовые и гладкие калибры для контроля цилиндрических резьб и устанавливает наименования видов калибров и их обозначения. Настоящий стандарт не распространяется на калибры видов 3, 6, 11 и 22 для контроля резьбы по ГОСТ 24739-81 в части правил их применения
Связи и замены
Заменяющий:
-
Изменения и переиздания
Список изменений:
№1 от (рег. ) «Срок действия продлен»
Описание стандарта
ГОСТ 24939-81 Калибры для цилиндрических резьб. Виды
Страницы стандарта









