ГОСТ 24960-81 Калибры комплексные для контроля шлицевых прямобочных соединений. Виды, основные размеры
ГОСТ
Скачать ГОСТ в PDF или DOC бесплатно
Основная информация
Обозначение:
ГОСТ 24960-81
Статус:
Действует
Тип:
ГОСТ
Название русское:
Калибры комплексные для контроля шлицевых прямобочных соединений. Виды, основные размеры
Название английское:
Complex gauges for splined straight-sided joints. Types, basic dimensions
Даты и сроки
Дата издания:
05-01-03
Дата введения в действие:
01-01-82
Дата завершения срока действия:
-
Применение и описание
Область и условия применения:
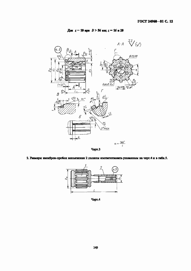
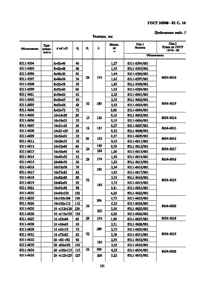
Настоящий стандарт распространяется на комплексные калибры (пробки и кольца), предназначенные для контроля суммарных отклонений наружного и внутреннего диаметров, ширины пазов или толщины зубьев, а также отклонений формы и расположения элементов профиля шлицевых валов и отверстий с прямобочным профилем зубьев
Связи и замены
Заменяющий:
-
Взамен:
МН 2957-61;МН 2958-61;МН 2959-61;МН 2960-61;МН 2961-61;МН 2962-61;МН 2963-61;МН 2964-61;МН 2965-61;МН 2966-61;МН 2967-61;МН 2968-61;МН 2969-61
Изменения и переиздания
Список изменений:
№1 от (рег. ) «Срок действия продлен»
Описание стандарта
ГОСТ 24960-81 Калибры комплексные для контроля шлицевых прямобочных соединений. Виды, основные размеры
Страницы стандарта

























